A章 總 則
第27.1條 適用範圍
(a)本規定規定了頒發和更改最大重量等於或者小于3,180公斤(7,000磅)且其乘客座位數不大於9座的正常類旋翼航空器型號合格證的適航要求。
(b)按照《民用航空産品和零部件合格審定規定》(CCAR–21)的規定申請正常類旋翼航空器型號合格證或者申請對該合格證進行更改的申請人,必須表明符合本規定的適用要求。
(c)多發旋翼航空器可以按照A類進行型號合格審定,但必須符合本規定附錄C的要求。
第27.2條 特別追溯要求
(a)對於2003年8月1日以後製造的各旋翼航空器,申請人必須表明每個乘員座椅均裝有滿足本條(a)款(1)項、(a)款(2)項和(a)款(3)項要求的安全帶和肩帶。
(1)每個乘員座椅必須具有一套單點脫扣的組合式安全帶和肩帶。每個駕駛員的組合式安全帶和肩帶必須允許駕駛員在繫上安全帶和肩帶就座時能夠完成飛行操作所有必需的功能。安全帶和肩帶不使用時必須有措施將其固定,以免妨礙旋翼航空器的操作和應急情況下的快速撤離。
(2)必須用安全帶加上能防止頭部與任何傷害性物體碰撞的肩帶,保護每個乘員免受嚴重的頭部損傷。
(3)在適用的情況下,安全帶和肩帶必須滿足旋翼航空器型號合格審定基礎規定的靜強度和動強度要求。
(4)對本條而言,旋翼航空器製造日期按照下列方式之一確定:
(ⅰ)反映旋翼航空器完工並滿足局方批准的型號設計資料的驗收檢查記錄或者等效記錄的日期;
(ⅱ)外國適航當局證明該旋翼航空器完工並頒發初始標準適航證或者等效文件的日期。
(b)對於2002年8月1日之前確定型號合格審定基礎的旋翼航空器:
(1)只要申請人表明符合2002年8月1日施行的本規章所有適航要求,其最大乘客座位可以增加至8座或者9座。
(2)只要符合下列要求之一,其最大重量可以增加至2,730公斤(6,000磅)以上:
(ⅰ)增加後的乘客座位數不超出2002年8月1日審定的最大數量;
(ⅱ)申請人表明符合至2002年8月1日有效的本規章所有適航要求。
B章 飛 行
第一節 一般規定
第27.21條 證明符合性的若干規定
本章的每項要求,在申請合格審定的載重狀態範圍內,對重量和重心的每種相應組合,均必須得到滿足。證實時必須按照下列規定:
(a)用申請合格審定的該型號旋翼航空器進行試驗,或者根據試驗結果進行與試驗同等準確的計算;
(b)如果由所檢查的各種組合不能合理地推斷其符合性,則應對重量與重心的每種預期的組合進行系統的檢查。
第27.25條 重量限制
(a)最大重量
最大重量(表明符合本規定每項適用要求的最重重量)必須這樣制定:
(1)不大於:
(ⅰ)申請人選定的最重重量;
(ⅱ)設計最大重量(表明符合本規定每項適用的結構載荷情況的最重重量);
(ⅲ)表明符合本規定每項適用的飛行要求的最重重量;
(ⅳ)用來演示本規定第27.87條或者第27.143條(c)款(1)項的最重重量,或者其組合,如果無法滿足這些條款所規定的重量和使用條件(高度和溫度);
(2)不小于下述各項之和:
(ⅰ)按照本規定第27.29條確定的空機重量;
(ⅱ)相應于裝滿商載時的可用燃油重量;
(ⅲ)全部滑油重量;
(ⅳ)對各個座位,乘員重77公斤(170磅)或者申請合格審定要求的任一較輕重量。
(b)最小重量
最小重量(表明符合本規定每項適用要求的最輕重量)必須這樣制定:
(1)不大於下述各項之和:
(ⅰ)按照本規定第27.29條確定的空機重量;
(ⅱ)使用旋翼航空器所必需的最小機組的重量,假定每一成員的重量不大於77公斤(170磅),或者申請人選定的或者包括在載重説明書中的任一較輕重量。
(2)不小于:
(ⅰ)申請人選定的最輕重量;
(ⅱ)設計最小重量(表明符合本規定每項適用的結構載荷情況的最輕重量);
(ⅲ)表明符合本規定每項適用的飛行要求的最輕重量。
(c)帶有可拋放外挂載重的總重
如滿足下列要求,對於任何旋翼航空器的載重組合,帶有可拋放外挂載重的旋翼航空器總重可以制定成大於依據本條(a)款所制定的最大重量:
(1)旋翼航空器的載重組合不包括有人外挂載重;
(2)按照本規定第27.865條或者等效的運作標準,用於外挂運作的結構件已得到批准;
(3)總重中大於按照本條(a)款制定的最大重量的部分僅由可拋放外挂載重的全部或者部分重量組成;
(4)按重量增加超過本條(a)款規定的重量而引起的載荷和應力增加的狀態來表明旋翼航空器的結構部件符合本規定適用的結構要求;
(5)使用總重大於本條(a)款制定的最大合格審定重量的旋翼航空器,應受適當的使用限制,該限制要符合本規定第27.865條(a)款和(d)款的要求。
第27.27條 重心限制
重心前限、重心後限及橫向重心極限(如果是臨界的),必須按照本規定第27.25條中規定的每一重量來制定。其極限不得超過:
(a)申請人選定的極限;
(b)證明結構符合要求所使用的極限;
(c)表明符合每項適用的飛行要求的極限。
第27.29條 空機重量和相應的重心
(a)空機重量與相應的重心必鬚根據無機組人員和有效載重的旋翼航空器稱重來確定,但應裝有:
(1)固定配重。
(2)不可用燃油。
(3)全部工作液體,包括:
(ⅰ)滑油;
(ⅱ)液壓油;
(ⅲ)除了發動機因噴液要求的水以外,旋翼航空器系統正常工作所需的其他液體。
(b)在確定空機重量時,旋翼航空器的狀態必須是明確定義的並易於再現,特別是關於燃油、滑油、冷卻劑和所裝設備的重量。
第27.31條 可卸配重
在表明符合本章的飛行要求時,可採用可卸配重。
第27.33條 主旋翼轉速和槳距限制
(a)主旋翼轉速限制
主旋翼轉速範圍必須這樣制定:
(1)有動力時,提供足夠的余量以適應在任何適當的機動中所發生的旋翼轉速的變化,並與所使用的調速器或者同步器的類型相協調;
(2)無動力時,在申請合格審定要求的整個空速和重量範圍內,可以完成各種適當的自轉機動飛行。
(b)正常的主旋翼高槳距限制(有動力)
除直升機需要有本條(e)款規定的主旋翼低轉速警告外,對於旋翼航空器,必須表明在有動力且不超過批准的發動機最大極限時,在任何驗證過的飛行狀態下,不會出現主旋翼轉速明顯低於批准的最小主旋翼轉速。必須用下述任一種方法來保證:
(1)安裝適當的主旋翼高槳距限制器;
(2)旋翼航空器的固有特性保證主旋翼很不可能出現不安全的低轉速;
(3)以適當的措施將主旋翼的不安全轉速警告駕駛員。
(c)正常的主旋翼低槳距限制(無動力)
當無動力作用時,必須表明:
(1)在重量和空速的最臨界組合條件下的任何自轉飛行狀態,主旋翼正常低槳距極限應保證有足夠的旋翼轉速;
(2)不需要特殊的駕駛技巧就可以防止旋翼超轉。
(d)應急高槳距
如果按照本條(b)款(1)項的要求安置有主旋翼高槳距限制器,而且不可能無意地超過限制器,則可設有可供應急使用的附加槳距。
(e)直升機主旋翼低轉速警告
對於各種單發直升機和當一台發動機故障時,如果沒有一种經批准的使工作的發動機自動地增加功率的裝置的各種多發直升機,必須有滿足下述要求的主旋翼低轉速警告指示:
(1)在所有飛行狀態,包括有動力和無動力飛行,當主旋翼的轉速接近於可能危及飛行安全值時,必須向駕駛員提供警告指示;
(2)可以通過直升機固有的空氣動力特性或者用一種裝置提供警告;
(3)在所有情況下,警告指示必須清晰明瞭,並與所有其他警告指示有明顯的區別,僅用要求駕駛艙內機組人員給予注意的目視警告裝置是不可接受的;
(4)如果採用警告裝置,在修正低轉速狀態後,此裝置必須能自動停止工作並且復原。如果此裝置具有音響警告,則還必須有一種裝置,以供駕駛員在修正低轉速狀態前,用手動清除音響警告。
第二節 性 能
第27.45條 通用要求
(a)除非另有規定,在靜止空氣和標準大氣下,必須滿足本章性能要求。
(b)性能必須與特定外界大氣條件、特定飛行狀態和本條(d)款或者(e)款規定的相對濕度下的發動機可用功率相對應。
(c)可用功率必須相應于發動機功率(不能超過批准功率)減去:
(1)安裝損失;
(2)在特定外界大氣條件及特定飛行狀態下,由附件和服務設施所消耗的功率。
(d)對於活塞發動機的旋翼航空器,因發動機功率的影響,飛行性能必須建立在標準大氣相對濕度為80%的基礎上。
(e)對於渦輪發動機的旋翼航空器,因發動機功率的影響,飛行性能必須建立在下述相對濕度的基礎上:
(1)在等於和低於標準溫度時,相對濕度為80%;
(2)在等於和高於標準溫度加28℃(50℉)時,相對濕度為34%。在標準和標準加28℃這兩個溫度之間,相對濕度必須為線性變化。
(f)對於渦輪發動機的旋翼航空器,必須提供一種方法,以使駕駛員在起飛前確定每台發動機能夠輸出為達到本章規定的旋翼航空器飛行性能所必需的功率。
第27.49條 最小使用速度時的性能
(a)對於直升機:
(1)在申請合格審定所要求的重量、高度和溫度範圍內,懸停升限必須按照下列條件確定:
(ⅰ)起飛功率;
(ⅱ)起落架放下;
(ⅲ)直升機在地面效應範圍內,與正常起飛程式相一致的高度上。
(2)按照本條(a)款(1)項確定的懸停升限,必須至少:
(ⅰ)對於活塞發動機直升機,在標準大氣和最大重量時為1,200米(4,000英尺);
(ⅱ)對於渦輪發動機直升機,在標準溫度加22℃(40℉)和最大重量時為760米壓力高度(2,500英尺)。
(3)無地效懸停性能必須使用起飛功率,在申請合格審定所要求的重量、高度和溫度範圍內確定。
(b)對於除直升機外的旋翼航空器,在最小使用速度下的穩定爬升率必須在申請合格審定所要求的重量、高度和溫度範圍內,按照下列條件確定:
(1)起飛功率;
(2)起落架放下。
第27.51條 起飛
以起飛功率和轉速、最臨界重心、重量從海平面最大重量到本條所涵蓋的每一高度上申請起飛合格審定的重量進行起飛:
(a)從標準海平麵條件到申請起飛和著陸合格審定最大高度的整個高度範圍內,不得要求特殊的駕駛技巧或者特別有利的條件。
(b)起飛方式,必須確保如果一台發動機失效,在飛行航跡的任一點都能安全著陸。這必須演示到申請起飛和著陸合格審定的最大高度或者2,100米(7,000英尺)密度高度中的較小值。
第27.65條 爬升:全發工作
(a)對於除直升機外的旋翼航空器:
(1)在VY時的穩定爬升率,必須按照下列條件確定:
(ⅰ)每台發動機用最大連續功率;
(ⅱ)起落架收起;
(ⅲ)申請合格審定的各種重量、高度和溫度。
(2)按照本條(a)款(1)項所確定的爬升率爬升時,其爬升梯度必須是下述二者之一:
(ⅰ)如果申請合格審定範圍內的每一重量、高度和溫度,要確定起飛和爬越15米(50英尺)的障礙物所需的水準距離,則爬升梯度至少為1﹕10;
(ⅱ)在標準海平麵條件下,爬升梯度至少為1﹕6。
(b)直升機必須滿足下列要求:
(1)VY必須按照下列條件確定:
(ⅰ)在標準海平麵條件;
(ⅱ)最大總重;
(ⅲ)每台發動機用最大連續功率。
(2)穩定爬升率必須在下列條件下確定:
(ⅰ)申請人選定的爬升速度等於或者低於VNE;
(ⅱ)從海平面直到申請合格審定的最大高度範圍內;
(ⅲ)與本條(b)款(2)項(ⅱ)目所規定的和申請合格審定高度範圍相應的各種重量和溫度;
(ⅳ)每台發動機用最大連續功率。
第27.67條 爬升:一台發動機不工作(OEI)
對於多發直升機,以速度VY(或者以最小下降率時的速度)的穩定爬升(或者下降)率必須按照下列條件確定:
(a)最大重量;
(b)臨界發動機不工作且其餘發動機為下列之一:
(1)最大連續功率,對於申請使用30分鐘一台發動機不工作(OEI)功率合格審定的直升機,還要求30分鐘一台發動機不工作(OEI)功率;
(2)對於申請使用連續一台發動機不工作(OEI)功率合格審定的直升機,連續一台發動機不工作(OEI)功率。
第27.71條 自轉性能
對於單發直升機和不滿足《運輸類旋翼航空器適航規定》(CCAR–29)A類發動機隔離要求的多發直升機,其最小下降率的空速和最佳下滑角的空速必須由下列條件的自轉來確定:
(a)最大重量;
(b)申請人選定的旋翼轉速。
第27.75條 著陸
(a)旋翼航空器必須具有如下著陸性能:沒有過大的垂直加速度,沒有彈跳、前翻、地面打轉、前後振動及水面打轉的傾向,不需特殊駕駛技巧或者特別有利的條件,並且:
(1)由申請人選定,並與該旋翼航空器型號相適應的進近或者自轉速度。
(2)進近和著陸按照下列情況進行:
(ⅰ)對於單發旋翼航空器,無動力,從穩定自轉狀態進入;
(ⅱ)對於多發旋翼航空器,一台發動機不工作(OEI),剩餘發動機在批准的使用限制內,從已建立的一台發動機不工作(OEI)進近狀態進入。
(b)多發旋翼航空器,在正常運作中,全部動力失效後,必須能安全著陸。
第27.87條 高度-速度包線
(a)如果存在高度與前飛速度(包括懸停)的任何組合,在本條(b)款適用功率喪失的情況下不能安全著陸,則必須就下述全部範圍制定極限高度-速度包線(包括全部有關資料):
(1)高度
從標準海平面狀態到旋翼航空器所能達到的最大高度或者2,100米(7,000英尺)密度高度,取小者。
(2)重量
從海平面最大重量到申請人選定的本條(a)款(1)項涵蓋的每一高度的重量。對於直升機,在海平面高度以上的重量不能小于最大重量或者無地效懸停允許的最重重量,取輕者。
(b)適用功率喪失條件:
(1)對單發直升機,完全自轉。
(2)對於多發直升機,一台發動機不工作(OEI)(發動機隔離特性保證剩餘的發動機繼續工作),剩餘發動機在批准的限制範圍,並且在批准的外界溫度和壓力高度最臨界組合狀態下,所能提供的最小安裝規格功率。批准的外界溫度和壓力高度最臨界組合對應2,100米(7,000英尺)密度高度或者該直升機所能達到的最大高度中的較小者。
(3)對於其他旋翼航空器,適合於該型號的情況。
第三節 飛行特性
第27.141條 通用要求
旋翼航空器必須滿足下列要求:
(a)除在適用條款中另有特殊要求外,在下列情況下滿足本章飛行特性要求:
(1)在經批准的工作高度和溫度條件下;
(2)在申請合格審定的重量和重心範圍內的任一臨界載重狀態;
(3)有動力飛行時,在申請合格審定的任一速度、功率和旋翼轉速狀態;
(4)無動力飛行時,在申請合格審定的任一速度和旋翼轉速狀態,此狀態在操縱系統符合批准的安裝説明和容限下是能達到的。
(b)對這類型號的任何可能的使用情況下,包括下列使用情況,不要求特殊的駕駛技巧、機敏和體力,並且沒有超過限制載荷系數的危險,便能保持任何需要的飛行狀態,以及從任一飛行狀態平穩地過渡到任何其他飛行狀態:
(1)滿足《運輸類旋翼航空器適航規定》(CCAR–29)A類發動機隔離要求的多發旋翼航空器,一台發動機突然失效;
(2)其他旋翼航空器,全部發動機突然失效;
(3)本規定第27.695條規定的整個操縱系統突然失效。
(c)如果申請夜間或者儀錶飛行合格審定,則要具有夜間或者儀錶飛行所要求的任何附加特性。對直升機儀錶飛行的要求見本規定附錄B。
第27.143條 操縱性和機動性
(a)在下列過程中,旋翼航空器必須能夠安全地操縱和機動:
(1)穩定飛行;
(2)適用該型號的任何機動飛行,包括:
(ⅰ)起飛;
(ⅱ)爬升;
(ⅲ)平飛;
(ⅳ)轉彎飛行;
(ⅴ)自轉;
(ⅵ)著陸(有動力和無動力);
(ⅶ)從中斷自轉進場到恢復有動力飛行。
(b)週期變距操縱余量在下列情況下必須能夠在VNE時提供滿意的滾轉和俯仰操縱:
(1)臨界重量;
(2)臨界重心;
(3)臨界旋翼轉速;
(4)無動力(除演示表明符合本條(f)款的直升機外)和有動力。
(c)必須確定所有方位情況下從0到至少8.74米/秒(17節)的風速,在此風速下,旋翼航空器在下列情況下,能夠在地面或者近地面處進行與其型號相適應的任何機動飛行(如側風起飛、側飛與向後飛),而不喪失操縱:
(1)高度,從標準海平麵條件,到旋翼航空器所能達到的最大起飛和著陸高度或者2,100米(7,000英尺)密度高度,取小值,以
(ⅰ)臨界重量;
(ⅱ)臨界重心;
(ⅲ)臨界旋翼轉速;
(2)對起飛和著陸高度大於2,100米(7,000英尺)密度高度,以
(ⅰ)申請人選定的重量;
(ⅱ)臨界重心;
(ⅲ)臨界旋翼轉速。
(d)必須確定所有方位情況下從0到至少8.74米/秒(17節)的風速,在此風速下,旋翼航空器在下列情況下,能夠無地效飛行而不喪失操縱:
(1)申請人選定的重量;
(2)臨界重心;
(3)申請人選定的旋翼轉速;
(4)高度,從標準海平麵條件到旋翼航空器所能達到的最大起飛和著陸高度。
(e)在(1)滿足運輸A類發動機隔離要求的多發旋翼航空器中的一台發動機失效後,或者(2)其他旋翼航空器全部發動機失效後,當發動機失效發生在最大連續功率和臨界重量時,旋翼航空器在申請合格審定的速度和高度全部範圍內,必須是可以操縱的。在發動機失效後的任何情況下,修正動作的滯後時間不得小于如下規定:
(ⅰ)對巡航狀態為1秒或者駕駛員正常的反應時間(取大值);
(ⅱ)對任何其他狀態為駕駛員正常反應時間。
(f)對於按照本規定第27.1505條(c)款制定的VNE(無動力)的直升機,必須在下列條件下,以臨界重量、臨界重心和臨界旋翼轉速演示:
(1)在有動力VNE時,最後一台工作的發動機不工作後,直升機必須能安全地減速到無動力VNE,且不需要特殊的駕駛技巧;
(2)在速度為1.1VNE(無動力)時,週期變距操縱余量必須允許在無動力的情況下能提供滿意的滾轉和俯仰操縱。
第27.151條 飛行操縱
(a)縱向、橫向、航向和總距操縱不得出現過大的啟動力、摩擦力和預載。
(b)操縱系統的各種力和活動間隙不得妨礙旋翼航空器對操縱系統輸入的平穩和直接的響應。
第27.161條 配平操縱
配平操縱:
(a)在以任何合適速度平飛時,任一穩定的縱向、橫向和總距操縱力必須配平至零。
(b)不得引起操縱力梯度有任何不希望的不連續。
第27.171條 穩定性:通用要求
在預期的長時間正常運作中,在任何正常的機動飛行期間,旋翼航空器的飛行不應使駕駛員有過分的疲勞和緊張。在演示時必須至少做三次起落。
第27.173條 縱向靜穩定性
(a)縱向操縱必須這樣設計:為獲得小于配平速度的空速,操縱桿必須向後運動。而為了獲得大於配平速度的空速,操縱桿必須向前運動。
(b)在申請合格審定的整個高度範圍內,在本規定第27.175條(a)款至(d)款中規定的機動飛行期間,油門和總距保持不變的狀態下,操縱桿位置與空速的關係曲線斜率必須是正的。然而,在局方確認可接受的有限的飛行條件或者運作模式下,如果旋翼航空器擁有的飛行特性,允許駕駛員,在不需要特殊的駕駛技巧或者警覺條件下,便能將空速保持在設定配平空速的±9.26千米/小時(5節)範圍內,操縱桿的位置與速度的關係曲線的斜率可以是中立的或者負的。
第27.175條 縱向靜穩定性演示
(a)爬升
縱向靜穩定性必須在下列條件,速度從VY–18.52千米/小時(10節)到VY+18.52千米/小時(10節),爬升狀態下表明:
(1)臨界重量;
(2)臨界重心;
(3)最大連續功率;
(4)起落架收起;
(5)旋翼航空器在VY配平。
(b)巡航
縱向靜穩定性必須在下列條件,速度以0.8VNE–18.52千米/小時(10節)至0.8VNE+18.52千米/小時(10節),或者VH小于0.8VNE時,從VH–18.52千米/小時(10節)至VH+18.52千米/小時(10節),巡航狀態下表明:
(1)臨界重量;
(2)臨界重心;
(3)以0.8VNE或者VH平飛所需的功率,取小值;
(4)起落架收起;
(5)旋翼航空器配平在0.8VNE或者VH,取小值。
(c)VNE
縱向靜穩定性必須在下列條件,速度從VNE–37.04千米/小時(20節)至VNE,表明:
(1)臨界重量;
(2)臨界重心;
(3)VNE–18.52千米/小時(10節)平飛功率或者最大連續功率,取小值;
(4)起落架收起;
(5)旋翼航空器配平在VNE–18.52千米/小時(10節)。
(d)自轉
縱向靜穩定性必須在以下自轉狀態下表明:
(1)速度從最小下降率速度–18.52千米/小時(10節)到最小下降率速度+18.52千米/小時(10節)
(ⅰ)臨界重量;
(ⅱ)臨界重心;
(ⅲ)起落架放下;
(ⅳ)旋翼航空器配平在最小下降率速度。
(2)速度從最佳下滑角速度–18.52千米/小時(10節)到最佳下滑角速度+18.52千米/小時(10節)
(ⅰ)臨界重量;
(ⅱ)臨界重心;
(ⅲ)起落架收起;
(ⅳ)旋翼航空器配平在最佳下滑角速度。
第27.177條 航向靜穩定性
(a)航向操縱須按照如下方式工作:在本規定第27.175條(a)款、(b)款和(c)款中規定的配平狀態,油門桿和總距保持不變的情況下,隨航向操縱輸入引起的旋翼航空器運動感覺和運動方向應與腳蹬運動方向一致。在側滑角到以下值中較小值時,側滑角必須隨著航向操縱量的穩定增加而增加:
(1)從配平速度在小于最小下降率速度27.78千米/小時(15節)時的25度側滑角,線性變化到配平速度在VNE時的10度側滑角;
(2)按照本規定第27.351條建立的穩定下滑角;
(3)申請人選定的,對應于至少0.1g側向力的側滑角;
(4)最大航向操縱輸入所獲得的側滑角。
(b)當航空器接近側滑極限時,伴隨著側滑必須有足夠的提示警示駕駛員。
(c)按本條(a)款規定的方式機動過程中,側滑角與航向操縱位置之間的關係曲線,在配平周圍小的角度範圍內可以是負斜率,前提是在不需要特殊的駕駛技巧或者警覺條件下,就可以保持所需要的航向。
第四節 地面和水面操縱特性
第27.231條 通用要求
旋翼航空器必須具有良好的地面和水面操縱特性,包括在使用中預期的任一工作狀態下不得有不可操縱的傾向。
第27.235條 滑行條件
旋翼航空器必須設計得能承受當旋翼航空器在正常使用中可以合理預期到的最粗糙地面上滑行時的載荷。
第27.239條 噴濺特性
如果申請水上使用的合格審定,在滑行、起飛或者著水期間,不得有遮蔽駕駛員視線及危及旋翼、螺旋槳或者旋翼航空器其他部件的噴濺。
第27.241條 “地面共振”
在地面旋翼轉動時,旋翼航空器不得發生危險的振蕩趨勢。
第五節 其他飛行要求
第27.251條 振動
在每一種合適的速度和功率狀態下,旋翼航空器的每一個部件必須沒有過度的振動。
C章 強度要求
第一節 一般規定
第27.301條 載荷
(a)強度的要求用限制載荷(使用中預期的最大載荷)和極限載荷(限制載荷乘以規定的安全系數)來規定。除非另有説明,所規定的載荷均為限制載荷。
(b)除非另有説明,所規定的空氣載荷、地面載荷和水載荷必須與計及旋翼航空器每一品質項目的慣性力相平衡,這些載荷的分佈必須接近或者偏保守地反映真實情況。
(c)如果在載荷作用下的變位會顯著改變外部載荷或者內部載荷的分佈,則必須考慮這種重新分佈。
第27.303條 安全系數
除非另有規定,安全系數必須取1.5。此系數適用於外部載荷和慣性載荷,除非應用它得到的內部應力是過分保守的。
第27.305條 強度和變形
(a)結構必須能承受限制載荷而無有害的或者永久的變形。在直到限制載荷的任何載荷作用下,變形不得影響安全運作。
(b)結構必須能承受極限載荷而不破壞,此要求必須用下述任一方法表明:
(1)在靜力試驗中,施加在結構上的極限載荷至少保持3秒鐘;
(2)模擬真實載荷作用的動力試驗。
第27.307條 結構驗證
(a)必須表明結構對計及其使用環境的每一臨界受載情況均滿足本章的強度和變形要求。只有經驗表明結構分析的方法(靜力或者疲勞)對某種結構是可靠的情況下,對這種結構才可採用分析的方法,否則必須進行驗證載荷試驗。
(b)為滿足本章的強度要求所做的試驗必須包括:
(1)旋翼、旋翼傳動系統和旋翼操縱系統的動力及耐久試驗;
(2)包括操縱面在內的操縱系統的限制載荷試驗;
(3)操縱系統的操作試驗;
(4)飛行應力測量試驗;
(5)起落架落震試驗;
(6)用於新的或者非常規設計特點所要求的任何附加試驗。
第27.309條 設計限制
為表明滿足本章的結構要求,必須制定下列數據和限制:
(a)設計最大重量;
(b)有動力和無動力時主旋翼的轉速範圍;
(c)在本條(b)款規定的範圍內,對應主旋翼每一轉速下的最大前飛速度;
(d)最大後飛和側飛速度;
(e)與本條(b)款、(c)款和(d)款所規定的限制相對應的重心極限;
(f)每一動力裝置和每一相連接的旋轉部件之間的轉速比;
(g)正的和負的限制機動載荷系數。
第二節 飛行載荷
第27.321條 通用要求
(a)必須假定飛行載荷系數垂直旋翼航空器的縱軸,並且與作用在旋翼航空器重心上的慣性載荷系數大小相等、方向相反。
(b)對以下情況必須表明滿足本章的飛行載荷要求:
(1)從設計最小重量到設計最大重量的每一重量;
(2)在旋翼航空器飛行手冊使用限制內,可調配載重的任何實際分佈。
第27.337條 限制機動載荷系數
旋翼航空器必須按下述規定之一設計:
(a)從正限制機動載荷系數3.5到負限制機動載荷系數–1.0的範圍;
(b)任一正限制機動載荷系數不得小于2.0,負限制機動載荷系數不得大於–0.5,但:
(1)需用分析和飛行試驗表明超過所選取系數的概率為極小可能的;
(2)所選取系數對在設計最大重量和設計最小重量之間的每一重量情況均是適當的。
第27.339條 合成限制機動載荷
假設由限制機動載荷系數得到的載荷,作用在每個旋翼槳轂中心和每個輔助升力面上,並且載荷方向和在各旋翼和各輔助升力面間的分配應能代表包括具有最大設計前進比的有動力和無動力飛行在內的每一臨界機動情況。此前進比是旋翼航空器飛行速度在槳盤平面的分量與旋翼槳葉的槳尖速度之比,用下式錶示:

式中:
V:沿飛行航跡的空速(米/秒);
α:槳距不變軸在對稱平面內的投影和飛行航跡垂線間的夾角(弧度,軸指向後為正);
Ω:旋翼的角速度(弧度/秒);
R:旋翼半徑(米)。
第27.341條 突風載荷
旋翼航空器必須設計成能承受包括懸停在內的每個臨界空速下由9.14米/秒(30英尺/秒)的垂直突風産生的載荷。
第27.351條 偏航情況
(a)旋翼航空器必須設計成能承受由本條(b)款和(c)款規定的機動飛行載荷,同時滿足下列條件:
(1)對重心處的不平衡氣動力矩,由考慮的主要品質提供的反作用慣性力以合理的或者保守的方式相平衡;
(2)主旋翼最大轉速。
(b)為了産生本條(a)款所要求的載荷,在由0到0.6VNE的前飛速度下,旋翼航空器作無偏航非加速飛行時:
(1)將駕駛艙內方向操縱器件突然移動到由操縱止動器或者由本規定第27.397條(a)款規定的駕駛員最大作用力所限制的最大偏轉;
(2)達到最終側滑角或者90°,二者中取小值;
(3)將方向操縱器件突然返回到中立位置。
(c)為了産生本條(a)款所要求的載荷,在由0.6VNE到VNE或者VH(二者中取小值)的前飛速度下,旋翼航空器作無偏航非加速飛行時:
(1)將駕駛艙內方向操縱器件突然移動到由操縱止動器或者由本規定第27.397條(a)款規定的駕駛員最大作用力所限制的最大偏轉;
(2)在VNE或者VH中較小的速度下,達到最終側滑角或者15°,二者中取小值;
(3)將本條(b)款(2)項和(c)款(2)項的側滑角直接隨速度變化;
(4)將方向操縱器件突然返回到中立位置。
第27.361條 發動機扭矩
發動機限制扭矩不得小于下列數值:
(a)對於渦輪發動機,其限制扭矩不得小于下列中的最大值:
(1)最大連續功率時的平均扭矩乘以1.25;
(2)本規定第27.923條所要求的扭矩;
(3)本規定第27.927條所要求的扭矩;
(4)因故障或者結構損壞(如壓氣機卡滯)引起的發動機突然停車而産生的扭矩。
(b)對於活塞發動機,其限制扭矩不得小于最大連續功率時的平均扭矩乘以下列系數:
(1)對於有5個或者5個以上汽缸的發動機,為1.33;
(2)對於有4個、3個、2個汽缸的發動機,分別為2、3和4。
第三節 操縱面和操縱系統載荷
第27.391條 通用要求
各輔助旋翼、固定的或者可動的安定面或者操縱面和用於任何飛行控制的各操縱系統,必須滿足本規定第27.395條、第27.397條、第27.399條、第27.411條和第27.427條的要求。
第27.395條 操縱系統
(a)從駕駛員操縱部位至操縱止動器的各操縱系統零件必須設計成能承受不小于下述規定的駕駛員作用力:
(1)在本規定第27.397條中規定的駕駛員限製作用力;
(2)如果操縱系統使駕駛員不致于對該系統施加駕駛員限製作用力,則駕駛員作用力就是該系統允許駕駛員所施加的最大力,但此力不小于本規定第27.397條中規定的0.6倍。
(b)各主操縱系統及其支承結構,必須按照下列設計:
(1)操縱系統必須承受本規定第27.397條中規定的駕駛員限製作用力所産生的載荷。
(2)除本條(b)款(3)項外,當使用帶動力作動筒操縱或者動力助力操縱時,系統還必須承受每個正常賦能動力裝置,包括任何單個動力助力器或者作動筒系統故障的輸出力所産生的載荷。
(3)如果系統設計或者正常操作載荷使得系統的某一部分不能平衡本規定第27.397條中規定的駕駛員限製作用力,那麼系統的這一部分必須設計成能承受在正常使用中所能獲得的最大載荷。在任何情況下,最小設計載荷必須對服役使用中包括計及疲勞、卡滯、地面突風、操縱慣性和摩擦載荷等情況下提供可靠的系統,在缺少合理分析的情況下,由0.6倍規定的駕駛員限製作用力産生的載荷是可接受的最小設計載荷。
(4)如果由於卡滯、地面突風、操縱慣性或者摩擦等原因可能超過上述操作載荷,則應承受本規定第27.397條中規定的駕駛員限製作用力而不屈服。
第27.397條 駕駛員限製作用力和扭矩
(a)除本條(b)款規定外,駕駛員限製作用力按照下述規定:
(1)腳操縱:578牛(130磅);
(2)桿式操縱:前、後為445牛(100磅),側向為298牛(67磅)。
(b)對於風門、調整片、安定面、旋翼剎車和起落架操縱機構,下述規定適用(R:半徑,毫米(英寸)):
(1)手柄、輪式和桿式操縱機構:

但不小于222牛(50磅),手操縱不大於445牛(100磅),腳操縱不大於578牛(130磅),力作用於操縱運動平面20°範圍內的任何角度上。
(2)旋轉操縱:356R牛-毫米(80R英寸-磅)。
第27.399條 雙操縱系統
各雙主飛行操縱系統必須設計成能承受本規定第27.395條規定的駕駛員作用力的0.75倍所産生的載荷,其操縱力按下述方向作用:
(a)相反方向;
(b)同一方向。
第27.411條 地面間隙:尾槳保護裝置
(a)在正常著陸時,尾槳不得接觸著陸表面。
(b)當採用尾槳保護裝置來滿足本條(a)款時,則:
(1)對保護裝置必須制定適當的設計載荷;
(2)尾槳保護裝置及其支撐結構必須設計成能承受該設計載荷。
第27.427條 非對稱載荷
(a)水準尾翼及其支撐結構必須設計成能承受由偏航和旋翼尾流影響與規定的飛行情況相組合所産生的非對稱載荷。
(b)為了滿足本條(a)款的設計準則,在缺乏更合理資料的情況下,必須同時滿足:
(1)對稱飛行情況下最大載荷的100%作用在對稱面一側的水準尾翼上,而另一側不載入荷。
(2)對稱飛行情況下最大載荷的50%作用於對稱面每一側的水準尾翼上,但方向相反。
(c)對於水準尾翼支撐在垂直尾翼上的尾翼佈局,垂直尾翼及其支撐結構必須按分別考慮每一種規定的飛行情況下所産生的垂直尾翼載荷和水準尾翼載荷的組合進行設計。必須按在水準尾翼和垂直尾翼上獲得最大設計載荷來選擇這些飛行情況。在缺乏更合理資料情況下,水準尾翼的非對稱載荷分佈必須假定為本條所規定的分佈。
第四節 地面載荷
第27.471條 通用要求
(a)載荷和平衡
對於限制地面載荷,採用下述規定:
(1)在本章著陸情況下得到的限制地面載荷,必須看成是作用在假定為剛體的旋翼航空器結構上的外部載荷;
(2)在規定的每一著陸情況中,外部載荷必須以合理的或者偏保守的方式與平動和轉動慣性載荷相平衡。
(b)臨界重心
必須在申請合格審定的重心範圍內選擇臨界重心,使每一起落架元件獲得最大設計載荷。
第27.473條 地面受載情況和假定
(a)對規定的著陸情況,必須採用不小于最大重量的設計最大重量。可以假定在整個著陸撞擊期間旋翼升力通過重心,且不得超過設計最大重量的三分之二。
(b)除非另有説明,對於所規定的每一著陸情況,旋翼航空器必須按照限制載荷系數設計。此系數不小于本規定第27.725條中所證實的限制慣性載荷系數。
第27.475條 輪胎和緩衝器
除非另有説明,對於所規定的每一著陸情況,必須假定輪胎處於它的靜態位置及緩衝器處於它的最臨界位置。
第27.477條 起落架的佈置
本規定第27.235條、第27.479條至第27.485條和第27.493條適用於重心後有兩個機輪而重心前有一個或者多個機輪的起落架。
第27.479條 水準著陸情況
(a)姿態
在本條(b)款規定的各受載情況下,假定旋翼航空器處於下述水準著陸姿態中的每個姿態:
(1)所有機輪同時觸地的姿態;
(2)後輪觸地,前輪稍離地面的姿態。
(b)受載情況
旋翼航空器必須按照下述著陸受載情況設計:
(1)按照本規定第27.471條施加的垂直載荷;
(2)按照本條(b)款(1)項施加的載荷與不小于作用在機輪上的垂直載荷的25%的阻力載荷相組合;
(3)如果有兩個前機輪,則按照本條(b)款(1)項和(b)款(2)項施加在機輪上的載荷按40﹕60的比例分配。
(c)俯仰力矩
假定俯仰力矩用下述方式平衡:
(1)在本條(a)款(1)項姿態下,用前起落架平衡;
(2)在本條(a)款(2)項姿態下,用轉動慣性力平衡。
第27.481條 機尾下沉著陸情況
(a)假定旋翼航空器處於它的各部分距地面間隙所允許的最大抬頭姿態。
(b)在此姿態下,假定地面載荷垂直地面。
第27.483條 單輪著陸情況
對於單輪著陸情況,假定旋翼航空器處於水準姿態,並有一個後輪觸地。在此姿態下:
(a)垂直載荷必須與按照本規定第27.479條(b)款(1)項得到的那側載荷相同;
(b)不平衡的外部載荷必須由旋翼航空器的慣性力平衡。
第27.485條 側移著陸情況
(a)假定旋翼航空器處於水準著陸姿態,且:
(1)側向載荷與本規定第27.479條(b)款(1)項水準著陸情況中得到的最大地面反作用力的一半相組合。
(2)本條(a)款(1)項得到的載荷按照下述規定之一作用:
(ⅰ)在地面接觸點上;
(ⅱ)對於自由定向起落架,在輪軸中心。
(b)旋翼航空器必須設計成在觸地時能承受下列載荷:
(1)僅後輪觸地時,等於0.8倍垂直反作用力的側向載荷在一側向內作用,而等於0.6倍垂直反作用力的側向載荷在另一側向外作用,且均與本條(a)款規定的垂直載荷相組合。
(2)所有的機輪同時觸地時,採用下述規定:
(ⅰ)對於後輪,本條(b)款(1)項規定的側向載荷與本條(a)款規定的垂直載荷相組合;
(ⅱ)對於前輪,等於0.8倍垂直反作用力的側向載荷與本條(a)款規定的垂直載荷相組合。
第27.493條 滑行剎車情況
在滑行剎車情況下,緩衝器處於靜態位置。
(a)限制垂直載荷至少必須乘以下列載荷系數:
(1)對於本規定第27.479條(a)款(1)項規定的姿態,為1.33;
(2)對於本規定第27.479條(a)款(2)項規定的姿態,為1.0。
(b)結構必須設計成能承受作用在帶剎車裝置的各機輪觸地點上的阻力載荷,此載荷至少為下列數值中較小值:
(1)垂直載荷乘以0.8倍的摩擦系數;
(2)根據限制剎車力矩確定的最大值。
第27.497條 地面受載情況:尾輪式起落架
(a)通用要求
在重心前有兩個機輪和重心後有一個機輪的起落架的旋翼航空器,必須按照本條規定的受載情況設計。
(b)僅前輪觸地的水準著陸姿態,在此姿態下採用下述規定:
(1)必須按照本規定第27.471條至第27.475條施加垂直載荷;
(2)各輪軸上的垂直載荷必須同該軸上的阻力載荷相組合,且阻力載荷不小於此軸上的垂直載荷的25%;
(3)假定不平衡的俯仰力矩由轉動慣性力平衡。
(c)所有機輪同時觸地的水準著陸姿態
在此姿態,旋翼航空器必須按照本條(b)款規定的著陸受載情況設計。
(d)僅尾輪觸地的最大抬頭姿態
本情況的姿態,必須是包括自轉著陸在內的正常使用中預期的最大抬頭姿態,在此姿態下,採用下述規定之一:
(1)必須確定並施加本條(b)款(1)項和(b)款(2)項所規定的適當的地面載荷,採用合理的方法計算尾輪的地面反作用力與旋翼航空器重心之間的力臂;
(2)必須表明以尾輪首先觸地的著陸概率為極小可能的。
(e)僅一個前輪觸地的水準著陸姿態
在此姿態下,旋翼航空器必須按照本條(b)款(1)項和(b)款(3)項規定的地面載荷設計。
(f)水準著陸姿態的側向載荷
在本條(b)款和(c)款規定的姿態下,採用下述規定:
(1)每個機輪上的側向載荷必須同本條(b)款和(c)款所得到的那個機輪的最大垂直地面反作用力的一半相組合,在此情況下,側向載荷必須:
(ⅰ)對於前輪,等於0.8倍的垂直反作用力(在一側向內作用)和等於0.6倍的垂直反作用力(在另一側向外作用);
(ⅱ)對於尾輪,等於0.8倍的垂直反作用力。
(2)本條(f)款(1)項規定的載荷必須作用於下列規定部位:
(ⅰ)處於拖曳位置的機輪觸地點上(對於定向起落架或者裝有使機輪保持在拖曳位置上的鎖、控制裝置或者減擺器的自由定向起落架);
(ⅱ)輪軸中心上(對於不裝鎖、控制裝置或者減擺器的自由定向起落架)。
(g)水準著陸姿態的滑行剎車情況
在本條(b)款和(c)款規定的姿態下,緩衝器處於靜態位置,旋翼航空器必須按照下列滑行剎車載荷設計:
(1)限制垂直載荷所必須依據的限制垂直載荷系數不小于下列值:
(ⅰ)對於本條(b)款規定的姿態,為1.0;
(ⅱ)對於本條(c)款規定的姿態,為1.33。
(2)對裝有剎車裝置的各機輪,作用在觸地點上的阻力載荷必須不小于下列數值中較小值:
(ⅰ)0.8倍的垂直載荷;
(ⅱ)根據限制剎車力矩確定的最大值。
(h)在地面靜止姿態下的尾輪扭轉載荷
在地面靜止姿態下,緩衝器和輪胎處於靜態位置,旋翼航空器必須按照下述尾輪扭轉載荷設計:
(1)等於尾輪靜載荷的垂直地面反作用力必須與相等的側向載荷相組合。
(2)本條(h)款(1)項規定的載荷必須按照下述規定之一作用於尾輪上:
(ⅰ)如果尾輪是可偏轉的(假定尾輪相對旋翼航空器縱軸旋轉90°),則載荷通過輪軸;
(ⅱ)如果有鎖、控制裝置或者減擺器,則載荷作用在觸地點上(假定尾輪處於拖曳位置)。
(i)滑行情況
旋翼航空器及其起落架必須按照在正常使用中合理的預期的最粗糙地面上滑行産生的載荷設計。
第27.501條 地面受載情況:滑橇式起落架
(a)通用要求
裝有滑橇式起落架的旋翼航空器必須按照本條規定的受載情況設計。在表明滿足本條要求時,採用下述規定:
(1)必須按照本規定第27.471條至第27.475條確定設計最大重量、重心和載荷系數。
(2)在限制載荷作用下,彈性構件的結構屈服是容許的。
(3)彈性構件的設計極限載荷不必超過下述規定的起落架落震試驗所得到的載荷:
(ⅰ)落震高度為本規定第27.725條規定的1.5倍;
(ⅱ)所假定的旋翼升力不大於第27.725條規定的限制落震試驗中使用值的1.5倍。
(4)必須按照下述規定表明滿足本條(b)款至(e)款的要求:
(ⅰ)對於所考慮的著陸情況,起落架處於它的最臨界偏轉位置;
(ⅱ)地面反作用力沿橇筒底部合理地分佈。
(b)水準著陸姿態的垂直反作用力
對在水準姿態下,以兩個滑橇底部觸地的旋翼航空器,必須按照本條(a)款的規定施加垂直反作用力。
(c)水準著陸姿態的阻力載荷
對在水準姿態下,以兩個滑橇底部觸地的旋翼航空器,採用下述規定:
(1)垂直反作用力必須與水準阻力相組合,水準阻力等於垂直反作用力的50%;
(2)組合的地面載荷必須等於本條(b)款規定的垂直載荷。
(d)水準著陸姿態的側向載荷
對在水準姿態下,以兩個滑橇底部觸地的旋翼航空器,採用下述規定:
(1)垂直地面反作用力必須:
(ⅰ)等於在本條(b)款所規定的情況中得到的垂直載荷;
(ⅱ)在滑橇間平均分配。
(2)垂直地面反作用力必須與等於該力25%的水準側向載荷相組合。
(3)總的側向載荷必須平均施加在兩個滑橇上並沿滑橇長度均勻分佈。
(4)假定不平衡力矩由轉動慣性力平衡。
(5)對滑橇式起落架必須研究下列情況:
(ⅰ)側向載荷向內作用;
(ⅱ)側向載荷向外作用。
(e)在水準姿態下單橇著陸載荷
對在水準姿態下,僅用單橇底部觸地的旋翼航空器,採用下述規定:
(1)觸地一側的垂直載荷必須與本條(b)款規定的情況中得到的該側載荷相同;
(2)假定不平衡力矩由轉動慣性力平衡。
(f)特殊情況
除本條(b)款和(c)款規定的情況外,旋翼航空器必須按照下述地面反作用力設計:
(1)與旋翼航空器縱軸向上、向後成45°角作用的地面反作用載荷必須滿足下述要求:
(ⅰ)等於1.33倍的最大重量;
(ⅱ)在滑橇間對稱分配;
(ⅲ)集中在橇筒直線部分的前端;
(ⅳ)僅適用於橇筒前端和它與旋翼航空器的連接件。
(2)水準著陸姿態的旋翼航空器,垂直地面反作用載荷等於本條(b)款確定的垂直載荷的一半,該載荷必須滿足下述要求:
(ⅰ)僅適用於橇筒和它與旋翼航空器的連接件;
(ⅱ)沿橇筒連接件之間33.3%的長度平均分佈在橇筒連接件之間的中央區域。
第27.505條 雪橇著陸情況
如果申請使用雪橇合格審定,則裝雪橇的旋翼航空器必須設計成能承受下述載荷(其中P是旋翼航空器在設計最大重量時作用在每個雪橇上的最大靜載荷,n是按照本規定第27.473條(b)款確定的限制載荷系數):
(a)向上載荷情況
在此情況下,採用下述規定:
(1)垂直載荷Pn和水準載荷Pn/4同時施加在支承座上;
(2)1.33P的垂直載荷施加在支承座上。
(b)側向載荷情況
在此情況下,0.35Pn的側向載荷在水準面內施加在支承座上,並垂直于旋翼航空器中心線。
(c)扭轉載荷情況
在此情況下,0.405P(牛頓·米)(1.33P磅·英尺)的扭轉載荷施加在雪橇上,它是對通過支承座中心線的垂直軸取矩的。
第五節 水載荷
第27.521條 浮筒著水情況
如果申請使用浮筒的合格審定,則帶浮筒的旋翼航空器必須設計成能承受下列情況的載荷(其中限制載荷系數按照本規定第27.473條(b)款確定或者假定等於輪式起落架的值):
(a)向上載荷情況
在此情況下,採用下述規定:
(1)旋翼航空器處於靜止的水準姿態,合成的水面反作用力垂直通過重心;
(2)本條(a)款(1)項規定的垂直載荷與垂直分力的0.25倍的向後分力同時作用。
(b)側向載荷情況
在此情況下,採用下述規定:
(1)垂直載荷是本條(a)款(1)項規定的總垂直載荷的0.75倍,它均等地分配于每個浮筒上;
(2)對每個浮筒,按本條(b)款(1)項確定的載荷與本條(b)款(1)項規定的總垂直載荷的0.25倍的總側向載荷相組合,它僅適用於浮筒。
第六節 主要部件要求
第27.547條 主旋翼結構
(a)每個主旋翼組件(包括旋翼槳轂和槳葉)必須按照本條規定設計。
(b)[備用]
(c)主旋翼結構必須設計成能承受本規定第27.337條至第27.341條規定的下列載荷:
(1)臨界飛行載荷;
(2)在正常自轉情況下出現的限制載荷,對於這個情況,選定的旋翼轉速必須包括高度的影響。
(d)主旋翼結構必須設計成能承受模擬下列情況的載荷:
(1)對於旋翼槳葉,槳轂和揮舞鉸,在地面運作期間,槳葉對它的止動塊的撞擊力;
(2)在正常運作中預期的任何其他臨界情況。
(e)主旋翼結構必須設計成能承受包括零在內的任何轉速下的限制扭矩,此外:
(1)限制扭矩不必大於由扭矩限制裝置(如果安裝)所限定的扭矩,但不得小于下列中較大值:
(ⅰ)以兩個方向可能傳給旋翼結構的最大扭矩;
(ⅱ)在本規定第27.361條中規定的發動機限制扭矩。
(2)限制扭矩必須以合理的方式分配給旋翼槳葉。
第27.549條 機身、起落架和旋翼支撐結構
(a)每個機身、起落架和旋翼支撐結構必須按照本條規定設計。旋翼的合力可以用作用在旋翼轂連接點上的集中力表示。
(b)每個結構必須設計成能承受下列載荷:
(1)在本規定第27.337條至第27.341條中規定的臨界載荷;
(2)在本規定第27.235條、第27.471條至第27.485條、第27.493條、第27.497條、第27.501條、第27.505條和第27.521條中規定的適用的地面載荷和水載荷;
(3)在本規定第27.547條(d)款(2)項和(e)款中規定的載荷。
(c)必須考慮輔助旋翼推力和加速飛行情況下産生的平衡氣動載荷和慣性載荷。
(d)每個發動機架和鄰接的機身結構必須設計成能承受在加速飛行和著陸情況下産生的載荷,包括發動機扭矩。
第七節 應急著陸情況
第27.561條 通用要求
(a)儘管旋翼航空器在地面或者水上應急著陸情況中可能損壞,但必須按照本條規定設計,以在這些情況下保護乘員。
(b)在下列情況下,結構必須設計成在墜撞著陸時,給每個乘員避免嚴重受傷的一切合理的機會:
(1)正確使用座椅、安全帶和其他安全設施;
(2)機輪收起(如果適用);
(3)當經受下列相對於周圍結構的極限慣性載荷系數時,應約束住每個乘員和座艙內可能傷害乘員的每個品質項目:
(ⅰ)向上4g;
(ⅱ)向前16g;
(ⅲ)側向8g;
(ⅳ)向下20g,在座椅裝置預期位移之後;
(ⅴ)向後1.5g。
(c)支承結構必須設計成在直至本款規定的任何極限慣性載荷系數下,能約束住位於機組艙和客艙上部和/或者後部、在應急著陸時松脫後可能傷害乘員的任何品質項目。所計及的品質項目包括但不限于:旋翼、傳動裝置和發動機。這些品質項目必須按照下列極限慣性載荷系數進行約束:
(1)向上1.5g;
(2)向前12g;
(3)側向6g;
(4)向下12g;
(5)向後1.5g。
(d)位於客艙地板下面的內部燃油箱區域的任何機身結構,必須設計成能承受下列極限慣性系數的載荷,並在這些載荷施加於燃油箱區域時保護燃油箱不致破裂:
(1)向上1.5g;
(2)向前4g;
(3)側向2g;
(4)向下4g。
第27.562條 應急著陸的動態情況
(a)儘管旋翼航空器在應急墜撞著陸中可能損壞,但必須設計成在下列情況下能合理地保護每個乘員:
(1)乘員正確地使用了設計提供的座椅,安全帶和肩帶;
(2)乘員經受了本條規定情況所産生的載荷。
(b)在起飛和著陸期間,經批准用於機組人員和旅客的每一座椅型號設計或者其他座椅裝置必須按照下列準則成功地完成動態試驗或者由相似型號座椅的動態試驗為基礎的合理分析予以證明。試驗必須用按照局方認可的77公斤(170磅)的擬人試驗模型(ATD)或者其等效物以正常向上坐姿模擬乘員來進行:
(1)當座椅或者其他座椅裝置相對於旋翼航空器的坐標系統以名義位置佈置時,旋翼航空器的縱軸相對於撞擊速度向量向上傾斜60°,旋翼航空器的橫軸垂直于包含撞擊速度向量和旋翼航空器縱軸的垂直平面,其向下速度的變化不小于9.14米/秒(30英尺/秒)。地板負加速度的峰值必須在撞擊後不大於0.031秒內出現,且必須達到其最小值30g。
(2)當座椅或者其他座椅裝置相對於旋翼航空器的坐標系統以名義位置佈置時,旋翼航空器的縱軸相對於撞擊速度向量右偏或者左偏10°(取使肩帶産生最大載荷的值),旋翼航空器的橫軸位於包含撞擊速度向量的水準面內,其垂直軸垂直于包含撞擊速度向量的水準平面,其向前速度變化不小于12.8米/秒(42英尺/秒)。地板負加速度的峰值必須在撞擊後不大於0.071秒內出現,且必須達到其最小值18.4g。
(3)若採用地板導軌或者地板、側壁板連接設施將座椅裝置連接到本條情況的機身結構上,則導軌或者設施必須彼此之間在垂直方向至少錯開10°(即不能平行安置),且與所選方向至少在橫側偏10°,以計及可能出現的地板翹曲。
(c)必須表明對下列要求的符合性:
(1)座椅裝置系統可以出現設計上預期的分離,但該系統其餘部分必須保持完整。
(2)儘管結構可能已超過其限制載荷,但在座椅裝置和機體結構之間的連接必須保持完整。
(3)在撞擊期間,擬人試驗模型的肩帶或者肩帶組必須保持在其肩部或者緊靠肩部的區域。
(4)在撞擊期間,安全帶必須保持在擬人試驗模型的骨盆處。
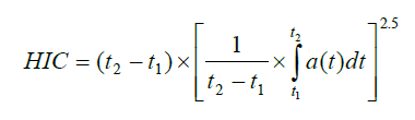
(5)擬人試驗模型的頭部不觸及機組艙或者客艙的任一部分,或者如果接觸,頭部撞擊所産生的由下述方程確定的頭部損傷判據(HIC)不超過1000。

式中:
a(t)—頭部重心的合成加速度,以g(重力加速度)的倍數表達;
t2-t1—嚴重頭部撞擊的時間歷程,以秒計。不超過0.05秒。
(6)單個肩帶上的載荷必須不超過7779牛(1750磅)。如果使用雙肩帶繫緊上部軀體,則肩帶上的總載荷必須不超過8890牛(2000磅)。
(7)在擬人試驗模型的骨盆和腰椎柱之間測得的最大壓力載荷必須不超過6668牛(1500磅)。
(d)如果選用與本條所要求的乘員保護方法水準相當或者更高的替代方法,必須以合理的方式加以證明。
第27.563條 水上迫降的結構要求
如果申請水上迫降的合格審定,則水上迫降所要求的結構強度必須滿足本條和本規定第27.801條(e)款的要求。
(a)前飛速度著水情況
旋翼航空器必須以從零到15.4米/秒(30節)的前飛速度及可能出現的俯仰、滾轉和偏航姿態首先接觸合理可能的水面情況的最臨界波浪。旋翼航空器相對於平均水面的限制垂直下沉速度不得小于1.5米/秒(5英尺/秒)。在整個著水撞擊過程中,作用於重心的旋翼升力不得大於最大設計重量的2/3。如果能證明在正常單發停車著水時不會超過所選的前飛速度,則可以採用小于15.4米/秒(30節)的前飛速度作為設計中的最大前飛速度。
(b)輔助浮筒或者應急浮筒情況
(1)固定式浮筒或者在觸水前展開的浮筒
除本條(a)款規定的著水載荷外,每個輔助或者應急浮筒及其支承結構和與機體或者機身的連接結構,必須設計成能承受浮筒完全浸沒所産生的載荷,除非能證明浮筒完全浸沒是不大可能的。若浮筒完全浸沒是不大可能的,則必須採用可能的最大浮筒浮力載荷。可能的最大浮筒浮力載荷必須包括如下考慮:部分浸沒的浮筒産生的恢復力矩平衡由側風、旋翼航空器非對稱載荷、水波作用、旋翼航空器慣性以及本規定第27.801條(d)款所考慮的可能的結構損壞和滲漏所産生的傾覆力矩。如果有重大影響,可採用按照第27.801條(d)款所確定的最大滾轉角和俯仰角來確定每個浮筒的浸沒程度。若浮筒在飛行中已展開,則在驗證浮筒及其與旋翼航空器的連接件時,應採用對展開浮筒的飛行限制所導出的適當氣動載荷。為此目的,限制載荷的設計空速為展開浮筒的空速使用限制的1.11倍。
(2)開始觸水後展開的浮筒
每一浮筒必須按照本條(b)款(1)項所述的完全浸沒或者部分浸沒進行設計。此外,每一浮筒必須設計成能承受旋翼航空器與水面10.3米/秒(20節)的相對限制速度所産生的垂直載荷和阻力載荷的組合載荷。垂直載荷不得小于本條(b)款(1)項所確定的可能的最大浮力載荷。
第八節 疲勞評定
第27.571條 飛行結構的疲勞評定
(a)通用要求
飛行結構的每一部分(飛行結構包括旋翼、發動機和旋翼槳轂之間的旋翼傳動系統、操縱機構、機身、起落架以及與上述各部分有關的主要連接件)凡其破壞可能引起災難性事故者必須予以認定,並必須按照本節(b)款、(c)款、(d)款或者(e)款的規定進行評定。下述規定適用於各種疲勞評定:
(1)評定的方法必須是經批准的。
(2)必須確定可能破壞的部位。
(3)在確定下述內容時必須包括飛行測量:
(ⅰ)本規定第27.309條規定的整個限制範圍內的全部臨界狀態的載荷或者應力,但機動載荷系數不必超過使用中預期的最大值;
(ⅱ)高度對這些載荷或者應力的影響。
(4)載荷譜必須和使用中預期的同樣嚴重,包括但不限于外挂貨物操作(適用時)以及地空地迴圈。載荷譜必須建立在本條(a)款(3)項確定的載荷或者應力基礎上。
(b)疲勞容限評定
在不按照本規定附錄A的第A27.4條制定的更換時間,檢查間隔或者其他程式的情況下,必須表明結構的疲勞容限能保證發生災難性疲勞破壞的概率為極小可能的。
(c)更換時間評定
必須表明在按照本規定附錄A的第A27.4條提供的更換時間內發生災難性疲勞破壞的概率為極小可能的。
(d)破損安全評定
下列各項適用於破損安全評定:
(1)必須表明按照本規定附錄A的第A27.4條提供的檢查程式,所有的局部破壞都是易於可檢的。
(2)按照本條(d)款(1)項的要求,必須確定從任一局部破壞成為易於可檢的時間到這種局部破壞擴展至剩餘結構強度降低到仍能承受限制載荷或者最大可達載荷(兩者中取較小值)的時間間隔。
(3)必須表明按照本條(d)款(2)項確定的時間間隔相對於本規定附錄A的第A27.4條提供的檢查間隔和有關的檢查程式足夠長,以便提供足夠大的監測概率,以保證災難性破壞的概率為極小可能的。
(e)更換時間和破損安全評定的組合
構件可按照本條(c)款和(d)款的組合情況作評定。對於這類構件,必須表明按照本規定附錄A的第A27.4條提供的經批准的更換時間、檢查間隔和有關程式相組合,其災難性破壞的概率為極小可能的。
第27.573條 複合材料旋翼航空器結構的損傷容限和疲勞評定
(a)每一申請人必須按照本條(d)款的損傷容限標準評定複合材料旋翼航空器結構,除非申請人證實因受幾何形狀、可檢查性和良好的設計實踐的限制,進行損傷容限評定不切實際。如果申請人證實因受幾何形狀、可檢查性和良好的設計實踐的限制進行損傷容限評定不切實際,申請人必須按照本條(e)款進行疲勞評定。
(b)用於確定本條符合性的方法必須提交局方並被接受。
(c)定義
(1)災難性失效,是指可能阻礙繼續安全飛行和著陸的事件。
(2)主要結構件(PSE),是指對承受飛行或者地面載荷起重要作用,且其失效可能導致旋翼航空器災難性失效的結構元件。
(3)威脅評估,是指詳細説明損傷的位置、類型和尺寸的一種評估,它考慮疲勞、環境影響、內在和離散缺陷,以及在製造和使用過程中可能發生的衝擊或者其他意外損傷。
(d)損傷容限評定
(1)每一申請人必須表明,考慮了內在或者離散製造缺陷或者意外損傷情況下,通過對複合材料PSE和其他零件的強度、細節設計點和製造技術的損傷容限評定,在旋翼航空器使用壽命期或者規定的檢查間隔內,避免了因靜載荷和疲勞載荷導致的災難性失效。在強度和疲勞評定中,每一申請人必須考慮材料和工藝隨環境條件變化的影響。每一申請人必須評定包括機體、主/尾旋翼傳動系統、主/尾旋翼槳葉和槳轂、旋翼操縱、固定和可動操縱面、發動機和傳動裝置安裝、起落架在內的PSE,以及局方認為關鍵的其他零件、細節設計點和製造技術。每一損傷容限評定必須包括:
(ⅰ)確定所有的PSE;
(ⅱ)需要進行飛行和地面載荷測試,為所有PSE,在本規定第27.309條要求的整個設計限制範圍內(包括高度影響)的所有臨界情況下,確定載荷或者應力,但機動載荷系數不必超過使用中預期的最大值;
(ⅲ)以本條(d)款(1)項(ⅱ)目確定的載荷或者應力為基礎的、與使用中預期的載荷譜一樣嚴重的載荷譜,包括外挂載荷運作(如果適用)和有高扭矩情況的其他運作;
(ⅳ)對規定損傷位置、類型和尺寸的所有PSE的威脅評估,考慮疲勞、環境影響、內在和離散缺陷,以及在製造或者使用過程中可能發生的衝擊或者其他偶然損傷(包括偶然損傷的離散源);
(ⅴ)對所有PSE的剩餘強度和疲勞特性評估,以支援本條(d)款(2)項確定的更換時間和檢查間隔。
(2)每一申請人必須為所有PSE確定更換時間、檢查或者其他程式,以要求在災難性失效前修理或者更換損傷的零件。這些更換時間、檢查或者其他程式必須包含在本規定第27.1529條要求的持續適航文件的適航限制章節中。
(ⅰ)PSE的更換時間必須通過試驗或者試驗支援的分析確定,且必須表明結構能承受使用中預期的變幅重復載荷。在確定這些更換時間時,必須考慮下列因素:
(A)本條(d)款(1)項(ⅳ)目要求在威脅評估中確定的損傷;
(B)最大的可接受製造缺陷和使用損傷(即那些沒有將剩餘強度降低到極限設計載荷以下的和那些可被修理恢復極限強度的);
(C)施加重復載荷後的極限載荷強度能力。
(ⅱ)必須確定PSE的檢查間隔,在本條(d)款(1)項(ⅳ)目要求的威脅評估中確定的可能因疲勞或其他使用原因發生的任何損傷擴展到該部件不能維持要求的剩餘強度能力前,發現該損傷。在確定這些檢查間隔時,必須考慮下列因素:
(A)通過試驗或者由試驗支援的分析確定的、在使用中預期的重復載荷作用下的損傷擴展率,包括不擴展;
(B)考慮損傷類型、檢查間隔、損傷可檢性以及損傷檢查所用技術後確定的假定損傷所要求的剩餘強度,要求的最小剩餘強度是限制載荷;
(C)在達到最小剩餘強度並恢復到極限載荷能力前,檢查是否能檢測到損傷擴展,或者該部件是否被要求更換。
(3)當驗證最大假定損傷尺寸和檢查間隔時,每一申請人必須考慮損傷對所有PSE的剛度、動態特性、載荷以及功能性能的影響。
(e)疲勞評定
如果申請人確定在幾何形狀、檢查能力或者好的設計實踐限制範圍內,本條(d)款規定的損傷容限評定不切實際,申請人必須對該特定複合材料旋翼航空器結構進行疲勞評定,並且:
(1)確定在疲勞評定中考慮的所有PSE;
(2)確定在疲勞評定中考慮的所有PSE的損傷類型;
(3)建立補充程式,使得與本條(d)款確定的損傷相關的災難性失效的風險最小;
(4)將這些補充程式納入本規定第27.1529條要求的持續適航文件的適航限制章節中。
D章 設計與構造
第一節 一般規定
第27.601條 設計
(a)旋翼航空器不得有經驗表明是危險的或者不可靠的設計特徵或者細節。
(b)每個有疑問的設計細節和零件的適用性必須通過試驗來確定。
第27.602條 關鍵零部件
(a)關鍵零部件是指其失效可能造成旋翼航空器災難性後果,並且必須控制其已確定的關鍵特性以保證所需完整性水準的零部件。
(b)如果型號設計包含關鍵零部件,則應該建立關鍵零部件清單。應制定程式以定義關鍵設計特性,確定影響關鍵設計特性的工藝和符合《民用航空産品和零部件合格審定規定》(CCAR–21)有關品質保證要求的必要的設計、工藝更改控制方法。
第27.603條 材料
其損壞可能對安全性有不利影響的零件所用材料的適用性和耐久性必須滿足下列要求:
(a)建立在經驗或者試驗的基礎上;
(b)符合經批准的標準,保證這些材料具有設計資料中所採用的強度和其他特性;
(c)考慮使用中預期的環境條件,如溫度和濕度的影響。
第27.605條 製造方法
(a)採用的製造方法必須能始終生産出完好的結構。如果某種製造工藝(如膠接、點焊或者熱處理)需要嚴格控制才能達到此目的,則該工藝必須按照經批准的工藝規範執行。
(b)旋翼航空器的每種新的製造方法必須通過試驗大綱予以證實。
第27.607條 緊固件
(a)其脫落可能危及旋翼航空器安全運作的每個可拆卸的螺栓、螺釘、螺母、銷釘或者其他緊固件必須裝有兩套獨立的鎖定裝置。緊固件及其鎖定裝置不得受到與具體安裝相關的環境條件的不利影響。
(b)使用過程中經受轉動的任何螺栓都不得採用自鎖螺母,除非在自鎖裝置外還採用非摩擦鎖定裝置。
第27.609條 結構保護
每個結構零件必須滿足下列要求:
(a)有適當的保護,以防止使用中由於任何原因而引起強度降低或者喪失,這些原因中包括:
(1)氣候;
(2)腐蝕;
(3)磨損。
(b)在需要防止腐蝕、易燃或者有毒液體聚積的部位,要有通風和排泄措施。
第27.610條 閃電和靜電防護
(a)旋翼航空器必須具有防止閃電引起的災難性後果的保護措施。
(b)對於金屬組件,可用下列措施之一表明符合本條(a)款的要求:
(1)該組件合適地電搭接到機體上;
(2)該組件設計成不致因閃擊而危及旋翼航空器。
(c)對於非金屬組件,可用下列措施之一表明符合本條(a)款的要求:
(1)該組件的設計使閃擊的後果減至最小;
(2)具有可接受的分流措施,將産生的電流分流而不致危及旋翼航空器。
(d)防止閃電和靜電的電搭接和保護措施必須符合下列要求:
(1)使靜電荷的積聚減至最小;
(2)使採用了正常預防措施的機組成員、旅客、服務和維修人員遭到電擊的危險減至最小;
(3)在正常和故障情況下,在具有接地的電氣系統的旋翼航空器上,都要設有電回流通道;
(4)使靜電對主要電氣和電子設備工作的影響減至可接受的水準。
第27.611條 檢查措施
對每個具有下列要求之一的部件,必須有進行仔細檢查的措施:
(a)週期性檢查;
(b)按基準和功能進行調整;
(c)潤滑。
第27.613條 材料的強度性能和設計值
(a)材料的強度性能必須以足夠的符合標準的材料試驗為依據,在統計的基礎上制定設計值。
(b)設計值的選擇必須使結構因材料的變化而引起破壞的概率極小。除本條(d)款和(e)款所規定的外,必須通過選取保證材料強度具有下述概率的設計值來表明對本款的符合性:
(1)對所施載入荷最終分佈于某部件中的單個元件的情況,若該元件的破壞將導致部件結構完整性的喪失,則應保證99%的概率及95%的置信度;
(2)對超靜定結構,若單個元件的破壞將導致所施加的載荷安全地分配到其他承載元件上,則應保證90%的概率及95%的置信度。
(c)結構的強度、細節設計和製造,必須使災難性疲勞破壞的概率減至最小,特別是在應力集中處。
(d)設計值必須是經局方認可的材料技術標準或者手冊中的數值,或者是經局方認可的其他數值。
(e)如果在使用前對每個單獨項目取樣進行試驗從而對材料加以選擇,並確定該特定項目的真實強度特性達到或者超過設計中使用的數值,則可採用其他設計值。
第27.619條 特殊系數
(a)對於每個結構零件,如果屬於下列任一情況,則採用本規定第27.621條至第27.625條中規定的特殊系數。
(1)其強度不易確定;
(2)在正常更換前,其強度在使用中很可能降低;
(3)由於下述原因之一,其強度發生顯著變化:
(ⅰ)製造工藝不穩定;
(ⅱ)檢驗方法不穩定。
(b)對於應用本規定第27.621條至第27.625條系數的每個零件,本規定第27.303條中規定的安全系數必須乘以下列任一特殊系數:
(1)本規定第27.621條至第27.625條中規定的適用的特殊系數;
(2)任何其他系數,它大到足以保證零件由於本條(a)款中所述的不穩定因素而引起強度不足的概率為極小可能的。
第27.621條 鑄件系數
(a)通用要求
除制定鑄件品質控制所必需的規定外,還必須採用本條(b)款和(c)款中規定的系數、試驗和檢驗,並且檢驗必須符合經批准的規範。除作為液壓或者其他流體系統零件而要進行充壓試驗的鑄件和不承受結構載荷的鑄件外,本條(c)款和(d)款適用於任何結構鑄件。
(b)支承應力和支承面
本條(c)款和(d)款中規定的鑄件支承應力和支承面,其鑄件系數按照下列規定:
(1)不論對鑄件採用何種檢驗方法,對於支承應力,取用的鑄件系數不必超過1.25;
(2)當零件的支承系數大於鑄件系數時,對該零件的支承面不必採用鑄件系數。
(c)關鍵鑄件
對於其損壞將妨礙旋翼航空器繼續安全飛行和著陸或者導致嚴重傷害乘員的每個鑄件,採用下列規定:
(1)每個關鍵鑄件必須滿足下列要求:
(ⅰ)具有不小于1.25的鑄件系數;
(ⅱ)100%接受目視、射線和磁粉(適於磁性材料)或者滲透(適於非磁性材料)檢驗,或者經批准的等效檢驗方法的檢驗。
(2)對於鑄件系數小于1.50的每個關鍵鑄件,必須用3個鑄件試件進行靜力試驗,並表明滿足下列要求:
(ⅰ)在對應于鑄件系數為1.25的極限載荷作用下,滿足本規定第27.305條的強度要求;
(ⅱ)在1.15倍限制載荷作用下,滿足本規定第27.305條的變形要求。
(d)非關鍵鑄件
除本條(c)款中規定的鑄件外,對於其他鑄件,採用下列規定:
(1)除本條(d)款(2)項和(3)項規定的情況外,鑄件系數和相應的檢驗必須符合下表:

(2)如果已制定品質控製程序並經批准,本(d)款(1)項規定的非目視檢驗的鑄件百分比可以減少;
(3)對於按照技術條件採購的鑄件(該技術條件確保鑄件材料的機械性能,並規定按抽樣原則從鑄件上切取試件進行試驗來證實這些機械性能),規定如下:
(ⅰ)可以採用1.0的鑄件系數;
(ⅱ)必須按照本條(d)款(1)項中鑄件系數為“1.25至1.50”的規定進行檢驗,並按照本條(c)款(2)項進行試驗。
第27.623條 支承系數
(a)除本條(b)款規定的情況外,每個有間隙(自由配合)並承受撞擊或者振動的零件,必須有足夠大的支承系數,以計及正常的相對運動的影響。
(b)對於規定有更大特殊系數的零件,不必採用支承系數。
第27.625條 接頭系數
對於每個接頭(用於連接兩個構件的零件或者端頭)採用下列規定:
(a)未經限制載荷和極限載荷試驗(試驗時在接頭和周圍結構內模擬實際應力狀態)證實其強度的每一接頭,接頭系數至少取1.15,這一系數必須用於下列各部分:
(1)接頭本體;
(2)連接件;
(3)被連接構件上的支承部位。
(b)下列情況不必採用接頭系數:
(1)按照經批准的工藝方法製成,並有全面的試驗數據為依據的接合(如金屬板連續接合、焊接和木質件中的嵌接);
(2)任何採用更大特殊系數的支承面。
(c)對於每個整體接頭,一直到截面特性成為其構件典型截面為止的部分,必須作為接頭處理。
(d)每一座椅、臥鋪、擔架、安全帶和肩帶以及與結構的連接裝置,其結構應通過分析、試驗或者二者的組合表明能承受本規定第27.561條(b)款(3)項中所規定的系數乘以1.33所産生的慣性載荷。
第27.629條 顫振
旋翼航空器的每個氣動力面在各種可用速度和功率狀態下,不得發生顫振。
第二節 旋 翼
第27.653條 旋翼槳葉的卸壓和排水
(a)每片旋翼槳葉必須滿足下列要求:
(1)有卸掉內部壓力的裝置;
(2)設置排水孔;
(3)設計成能防止水在它裏面聚集。
(b)本條(a)款(1)項和(2)項不適用於能承受在使用中預期出現的最大壓力差的密封旋翼槳葉。
第27.659條 品質平衡
(a)針對下列情況的需要,旋翼和槳葉必須進行品質平衡:
(1)防止過大振動;
(2)防止在直到最大前飛速度的任何速度下發生顫振。
(b)必須驗證品質平衡裝置的結構完整性。
第27.661條 旋翼槳葉間隙
旋翼槳葉與結構其他部分之間,必須有足夠的間隙,以防止在任何工作狀態下槳葉碰撞結構的任何部分。
第27.663條 防止“地面共振”的措施
(a)防止“地面共振”措施的可靠性必須由分析和試驗或者可靠的使用經驗予以表明,或者由分析或者試驗來表明單一措施的故障或者失效也不會引起“地面共振”。
(b)必須確定防止“地面共振”措施的阻尼作用在使用中可能的變化範圍,並且在進行本規定第27.241條要求的試驗時予以驗證。
第三節 操縱系統
第27.671條 通用要求
(a)每個操縱機構和操縱系統必須操作簡便、平穩和確切,並符合其功能。
(b)每個飛行操縱系統的每個元件必須在設計上採取措施或者帶有醒目的永久性標記,使能導致操縱系統功能不正常的任何裝配錯誤的概率減至最小。
第27.672條 增穩系統、自動和帶動力的操縱系統
如果增穩系統或者其他自動或者帶動力的操縱系統的功能對於表明滿足本規定飛行特性要求是必要的,則這些系統必須符合本規定第27.671條和下列規定:
(a)在增穩系統或者任何其他自動或者帶動力的操縱系統中,對於如駕駛員未察覺會導致不安全結果的任何失效,必須設置警告系統,該系統應在預期的飛行條件下無需駕駛員注意即可向駕駛員發出清晰可辨的警告。警告系統不得直接驅動操縱系統。
(b)增穩系統或者任何其他自動或者帶動力的操縱系統的設計,必須允許駕駛員能對失效採取初步對策,而無需特殊的駕駛技巧或者體力,採取的對策可以是用正常方式移動飛行操縱器件來超越失效,也可以是斷開失效的系統。
(c)必須表明,增穩系統或者任何其他自動或者帶動力的操縱系統發生任何單個失效後,符合下列規定:
(1)當失效或者功能不正常發生在批准的使用限制內的任何速度或者高度上時,旋翼航空器仍能安全操縱;
(2)在旋翼航空器飛行手冊中規定的實際使用的飛行包線(例如速度、高度、法向加速度和旋翼航空器的形態)內,仍能滿足本規定所規定的操縱性和機動性要求;
(3)配平和穩定特性不會降低至允許繼續安全飛行和著陸所必須的水準以下。
第27.673條 主飛行操縱系統
主飛行操縱系統是駕駛員用來直接操縱旋翼航空器的俯仰、橫滾、偏航和垂直運動的系統。
第27.674條 交連的操縱裝置
每個主飛行操縱系統必須能在任何交連的輔助操縱裝置出現故障、失效或者卡滯後保證安全飛行和著陸,並且能獨立進行操作。
第27.675條 止動器
(a)每個操縱系統都必須有確實限制駕駛員操縱機構運動範圍的止動器。
(b)每個止動器在系統中的佈置必須使操縱行程的範圍不受到下列因素的明顯影響:
(1)磨損;
(2)鬆動;
(3)鬆緊調節。
(c)每個止動器必須能承受相應于操縱系統設計情況下的載荷。
(d)每一片主旋翼槳葉應符合下列規定:
(1)必須有符合槳葉設計要求的止動器,以限制槳葉繞其鉸鏈的行程;
(2)必須採取措施避免槳葉在旋翼起動和停轉過程之外的任何運轉期間撞擊下止動器。
第27.679條 操縱系統鎖
若旋翼航空器裝有用於在地面或者水面上鎖閉操縱系統的裝置,則必須有措施以滿足下列要求:
(a)當鎖鎖住時,應給駕駛員以無誤的警告;
(b)防止該鎖在飛行中鎖閉。
第27.681條 限制載荷靜力試驗
(a)必須按照下列規定進行試驗,來表明滿足本規定限制載荷的要求:
(1)試驗載荷的方向應在操縱系統中産生最嚴重的受載狀態;
(2)應包括每個接頭、滑輪及將系統連接到主結構上的支座。
(b)對作角運動的操縱系統接頭,必須用分析或者單獨載荷試驗表明滿足特殊系數的要求。
第27.683條 操作試驗
必須通過操作試驗表明,當在駕駛艙用相當於該系統所規定的載荷載入于操縱系統來操作操縱機構時,此系統不會出現下列情況:
(a)卡阻;
(b)過度摩擦;
(c)過度變形。
第27.685條 操縱系統的細節設計
(a)各操縱系統的每個細節必須設計成能防止因貨物、乘客、鬆散物或者水汽凝凍引起的卡阻、摩擦和干擾。
(b)駕駛艙內必須有措施防止外來物進入可能卡住操縱系統的部位。
(c)必須有措施防止鋼索或者管子拍擊其他零件。
(d)鋼索系統必須按照下列要求進行設計:
(1)鋼索、鋼索接頭、鬆緊螺套、編結接頭和滑輪必須是可接受的型式;
(2)鋼索系統的設計,必須在各種使用情況和溫度變化下,在整個行程範圍內防止鋼索張力産生危險的變化;
(3)在任一主操縱系統中,不得使用直徑小于2.4毫米(3/32英寸)的鋼索;
(4)滑輪的型式和尺寸必須與所配用的鋼索相適應,採用的滑輪鋼索組合和強度值必須符合局方的有關規定;
(5)滑輪必須有防止鋼索滑脫或者纏結的保護裝置;
(6)滑輪必須儘量貼近鋼索通過的平面,以防止鋼索摩擦滑輪的凸緣;
(7)安裝導引件而引起的鋼索方向變化不得超過3°;
(8)在操縱系統中需受載或者活動的U形夾銷釘,不得僅使用開口銷保險;
(9)連接到有角運動零件上的鬆緊螺套的安裝,必須能確實防止在整個行程範圍內發生卡滯;
(10)必須有措施能對每個導引件、滑輪、鋼索接頭和鬆緊螺套進行目視檢查。
(e)對於作角運動的操縱系統接頭,用做支承的最軟材料的極限支承強度,必須有下列特殊系數:
(1)對於除了具有滾珠和滾柱軸承的接頭外的其他推-拉系統接頭取3.33;
(2)對於鋼索系統接頭取2.0。
(f)操縱系統接頭的硬度不得超過製造商規定的滾珠和滾柱軸承的靜態非布氏硬度額定值。
第27.687條 彈簧裝置
(a)其損壞會引起顫振或其他不安全特性的每個操縱系統彈簧裝置必須是可靠的。
(b)必須用模擬使用條件的試驗來表明符合本條(a)款所提出的要求。
第27.691條 自轉操縱機構
每個主旋翼的槳距操縱機構,在發動機失效後,必須能迅速進入自轉狀態。
第27.695條 動力助力和帶動力操作的操縱系統
(a)如果採用動力助力或者帶動力操作的操縱系統,在萬一發生下列任一失效時,備用系統必須立即起作用,以保證繼續安全飛行和著陸:
(1)系統動力部分中任何單一失效;
(2)全部發動機失效。
(b)每個備用系統可以是雙套動力部分,或者一個人工操縱的機械系統,該動力部分包括動力源(如液壓泵)以及閥門、管路和作動筒等。
(c)必須考慮機械部件(如活塞桿和連桿)的損壞及動力缸的卡阻,除非它們極不可能發生。
第四節 起落架
第27.723條 減震試驗
起落架的著陸慣性載荷系數及儲備能量吸收能力,必須分別用本規定第27.725條和第27.727條規定的試驗來驗證。這些試驗必須用完整的旋翼航空器或者用由機輪、輪胎和緩衝器按它們原有關係構成的組合件來進行。
第27.725條 限制落震試驗
限制落震試驗必須按照下列規定進行:
(a)落震高度必須符合下列情況之一:
(1)起落架最低點離地面330毫米(13英寸);
(2)任一不小于203毫米(8英寸)的較小高度,此高度能使下降接地速度等於在正常無動力著陸接地時很可能出現的最大可能的下沉速度。
(b)如果考慮旋翼升力的話,則必須把本規定第27.473條(a)款中所規定的旋翼升力,通過適當的能量吸收裝置或者採用有效品質引入落震試驗。
(c)每個起落架必須模擬從其吸收能量的觀點來看是最嚴重的著陸情況的姿態進行試驗。
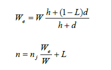
(d)當採用有效品質來表明滿足本條(b)款的規定時,可採用下面的公式取代更合理的計算:

式中:
We為落震試驗中使用的有效重量(公斤(磅))。
W=WM,用於主起落架(公斤(磅)),等於旋翼航空器處於最危險姿態時,作用於該起落架上的靜反作用力。當把主機輪反作用力與旋翼航空器重心之間的力臂考慮進去時,可採用合理的方法計算主起落架的靜反作用力。
W=WN,用於前起落架(公斤(磅)),等於假定旋翼航空器的品質集中在重心上,並産生向下1.0g和向前0.25g的力時,作用在前輪上的靜反作用力的垂直分量。
W=WT,用於尾輪(公斤(磅)),等於下列情況中的較大值:
(1)當旋翼航空器支撐在所有機輪上時,尾輪所受的靜重量;
(2)假定旋翼航空器的品質集中在重心上,以最大抬頭姿態著陸並産生向下1.0g的力時,尾輪所受的地面反作用力的垂直分量;
h為規定的自由落震高度(毫米(英寸));
L為假定的旋翼升力與旋翼航空器重力之比;
d為輪胎(充以規定的壓力)受撞擊時的壓縮量加上輪軸相對於落震品質位移的垂直分量(毫米(英寸));
n為限制慣性載荷系數;
nj為落震試驗中所用的品質受到撞擊時達到的載荷系數(即落震試驗中所記錄到的用g表示的加速度dv/dt加1.0)。
第27.727條 儲備能量吸收落震試驗
儲備能量吸收落震試驗必須按照下列規定進行:
(a)落震高度必須是本規定第27.725條(a)款所規定值的1.5倍;
(b)旋翼升力,其考慮方式類似于本規定第27.725條(b)款的規定,不得超過該條允許的升力的1.5倍;
(c)起落架必須經受此試驗而不破壞。前起落架、尾輪或者主起落架的構件不能將旋翼航空器支撐在正常姿態,或者除起落架和外部附件之外的旋翼航空器結構撞擊著陸地面,即視為起落架發生破壞。
第27.729條 收放機構
對於裝有可收放起落架的旋翼航空器,應符合下列規定:
(a)載荷
起落架收放機構、起落架艙門和支承結構,必須按照下列載荷設計:
(1)起落架在收上位置時,在任一機動情況下出現的載荷;
(2)直到起落架收放最大設計空速的任何空速下,起落架收放過程中出現的摩擦載荷、慣性載荷和空氣載荷的組合;
(3)直到起落架處於伸展時,最大設計空速的任何空速下,起落架在放下位置時出現的飛行載荷,包括偏航飛行載荷。
(b)起落架鎖
必須具有可靠措施將起落架保持在放下位置。
(c)應急操作
當使用手動以外方式操作起落架時,必須有應急措施,用於在發生下列情況之一時放下起落架:
(1)正常收放系統中任何合理可能的失效;
(2)任何單個液壓源、電源或者等效能源的失效。
(d)操作試驗
必須通過操作試驗來表明收放機構的功能正常。
(e)位置指示器
當起落架鎖在極限位置時,必須有位置指示器通知駕駛員。
(f)操縱機構
收放操縱機構的佈置和操作必須符合本規定第27.777條和第27.779條的要求。
(g)起落架警告裝置
必須具有音響或者等效的起落架警告裝置,當旋翼航空器處於正常著陸狀態而起落架沒有完全放下和鎖住時,它將連續警告。警告裝置必須具有人工切斷功能,並且當旋翼航空器不再處於著陸狀態時,警告系統必須能自動復原。
第27.731條 機輪
(a)每個起落架的機輪必須經過批准。
(b)每個機輪的最大靜載荷額定值,不得小于如下情況對應的地面靜反作用力:
(1)最大重量;
(2)臨界重心位置。
(c)每個機輪的最大限制載荷額定值,必須不小于按本規定適用的地面載荷要求確定的最大徑向限制載荷。
第27.733條 輪胎
(a)每個起落架機輪的輪胎必須符合下列要求:
(1)與機輪的輪緣正確地配合;
(2)符合額定值。
(b)每個輪胎的最大靜載荷額定值必須不小于該機輪在下列情況下所承受的地面靜反作用力:
(1)最大設計品質;
(2)臨界重心位置。
(c)可收放起落架系統上所裝的每個輪胎,當該型輪胎處於使用中預期出現的最大尺寸狀態時,與周圍結構和系統之間必須有足夠的間隙,以防止輪胎與結構或者系統的任何部分發生接觸。
第27.735條 剎車
對於裝有輪式起落架的旋翼航空器,必須裝有符合下列要求的剎車裝置:
(a)駕駛員可以操縱;
(b)在無動力著陸時能使用;
(c)滿足下列要求:
(1)抵消旋翼在起動或者停轉時所産生的任一正常的不平衡力矩;
(2)使旋翼航空器能停在坡度為10度的乾燥平滑路面上。
第27.737條 雪橇
每個雪橇的最大限制載荷的額定值必須不小于按照本規定適用的地面載荷要求所確定的最大限制載荷。
第五節 浮筒和船體
第27.751條 主浮筒浮力
(a)對於主浮筒,它能提供的浮力,必須超過在淡水中支承旋翼航空器最大重量所需的浮力,其超過的百分數應符合下列規定:
(1)50%(單浮筒);
(2)60%(多浮筒)。
(b)每個主浮筒必須有足夠數量的水密艙,以便在任何單個水密艙大量進水後,主浮筒還能提供足夠大的正穩定裕度,使旋翼航空器傾覆的概率減至最小。
第27.753條 主浮筒設計
(a)氣囊式浮筒
每個氣囊式浮筒必須設計成能承受下列載荷:
(1)在申請浮筒合格審定的最大高度上可能産生的最大壓差;
(2)本規定第27.521條(a)款規定的垂直載荷,沿氣囊長度方向分佈在氣囊3/4的投影面積上。
(b)剛性浮筒
每個剛性浮筒必須能承受本規定第27.521條中規定的垂直、水準及側向載荷。這些載荷可以是沿浮筒的長度方向分佈。
第27.755條 船體
對於經批准在水上起降的帶船體和輔助浮筒的旋翼航空器,其船體和輔助浮筒必須具有足夠數量的水密艙,以便在任何單個水密艙大量進水後,船體、輔助浮筒和機輪輪胎(如果使用)所産生的浮力能提供足夠大的正穩定裕度,以便使旋翼航空器傾覆的概率減至最小。
第六節 載人和裝貨設施
第27.771條 駕駛艙
駕駛艙必須滿足下列要求:
(a)駕駛艙及其設備必須能使每個駕駛員在執行其職責時不致過分專注或者疲勞。
(b)如果配備副駕駛員,則必須能從任一駕駛員座位上以同等的安全性操縱旋翼航空器。
(c)駕駛艙設備的振動和噪聲特性不得影響安全運作。
第27.773條 駕駛艙視界
(a)駕駛艙不得有影響駕駛員視界的眩光和反射,必須設計得滿足下列要求:
(1)駕駛員的視界足夠寬闊、清晰和不失真,以便能安全運作;
(2)為每個駕駛員防護風雨,使得在中雨情況下,正常飛行和著陸時,駕駛員對飛行路線的視界不致受到過分的削弱。
(b)如果申請夜航合格審定,則必須用地面或者夜間飛行試驗來表明符合本條(a)款的要求。
(c)視景系統包括位於駕駛員外部視界的透明顯示面,如平視螢幕(head up–display,HUD)、頭盔螢幕或者其他等效螢幕,必須滿足下列要求:
(1)當視景系統螢幕工作時,必須補償對駕駛員外部視界的干擾,使得螢幕中視景與透過螢幕及其周圍視景相結合保證駕駛艙滿足本條(a)款(1)項和(b)款的要求。
(2)駕駛員的外部視界不得受透明螢幕表面或者視景系統圖像影響而扭曲失真。當視景系統顯示圖像或者其他任何與圖像和外部場景地形相關的符號時,包括姿態標誌符、飛行航跡向量和飛行航跡角參考提示符,該圖像和符號必須與外部場景匹配並按比例縮放。
(3)視景系統必須提供一種方法,允許駕駛員使用螢幕立即停用和重新激活視景系統圖像,根據需要,可以無需將手從主要飛行和動力控制或者等效裝置上移開。
(4)當視景系統未運作時,必須允許駕駛艙滿足本條(a)款(1)項和(b)款的要求。
第27.775條 風擋和窗戶
風擋和窗戶必須採用不會破裂成危險碎片的材料製作。
第27.777條 駕駛艙操縱器件
駕駛艙操縱器件必須滿足下列要求:
(a)佈置得便於操作並能防止混淆和誤動;
(b)相對於駕駛員座椅的位置和佈局,使身高從158釐米(5英尺2英寸)至183釐米(6英尺)的駕駛員就座時,每個操縱器件可無阻擋地作全行程運動,而不受駕駛艙結構或者駕駛員衣著的干擾。
第27.779條 駕駛艙操縱器件的動作和效果
駕駛艙操縱器件必須設計成使其按照下列運動和作用來進行操縱:
(a)飛行操縱器件(包括總槳距桿)的操作方向必須與在旋翼航空器上産生的運動方向相一致。
(b)左手操作的旋轉式發動機功率控制桿必須設計成:當朝桿的端頭看手時,駕駛員的手順時針轉動為增大功率。除總槳距桿以外的其他形式的發動機功率控制桿,必須是向前運動為增大功率。
(c)常規的起落架操縱器件,必須是向下操作為放下起落架。
第27.783條 艙門
(a)每個封閉座艙至少必須有一扇合適的、易於接近的外部艙門。
(b)當按照適當操作程式使用時,每個外部艙門的設置,不能使使用它的人員受到旋翼、螺旋槳、發動機進氣和排氣的危害。如果需要有開門程式,該程式必須標記在艙門的內側,在門的開啟裝置上或者其鄰近位置上。
第27.785條 座椅、臥鋪、擔架、安全帶和肩帶
(a)指定供人在起飛和著陸時佔用的每一位置處的座椅、安全帶和肩帶以及附近的旋翼航空器部件,必須沒有潛在的致傷物、尖銳邊、突出物和堅硬表面,並必須設計成使正確使用這些設施的人在應急著陸中不會因本規定第27.561條(b)款規定的慣性載荷系數和第27.562條規定的動力條件而受到嚴重傷害。
(b)必須用安全帶加肩帶來防止頭部觸及任何致傷的物體,以保護每個乘員頭部避免受到嚴重傷害,但符合本規定第27.562條(c)款(5)項規定的情況除外。用肩帶(約束上部軀體)和安全帶的組合構成技術標準規定CTSO–C114所規定的軀幹約束系統。
(c)每個乘員座椅,必須設有帶單點脫扣裝置的組合式安全帶-肩帶。每個駕駛員在就座並繫緊其組合式安全帶-肩帶後,必須能執行飛行操作所需的所有任務。必須有措施在不使用組合式安全帶-肩帶時將其固定,以免妨礙對旋翼航空器的操作和在應急情況下的迅速撤離。
(d)如果椅背上沒有牢固的扶手處,則沿每條過道必須裝有把手或者扶桿,使乘員在中等顛簸氣流情況下使用過道時能夠穩住。
(e)在正常飛行中可能傷害旋翼航空器內坐著或者走動的人員的每個突出物都必須包墊。
(f)每個座椅及其支承結構必須至少按照體重77公斤(170磅)的使用者設計,按照相應的飛行和地面載荷情況(包括本規定第27.561條(b)款規定的應急著陸情況)考慮最大載荷系數、慣性力以及乘員、座椅和安全帶或者肩帶之間的反作用力。此外,還必須符合下列規定:
(1)每個駕駛員座椅的設計必須考慮本規定第27.397條規定的駕駛員作用力引起的反作用力;
(2)在確定下列連接的強度時,本規定第27.561條(b)款規定的慣性力必須乘以系數1.33:
(ⅰ)每個座椅與機體結構的連接;
(ⅱ)每根安全帶或者肩帶與座椅或者機體結構的連接。
(g)當安全帶-肩帶組合使用時,其額定強度不得低於與本規定第27.561條(b)款規定的慣性力相對應的強度,此時乘員重量不得低於77公斤(170磅),還需考慮約束系統安裝的空間特性,在載荷分配上,安全帶至少承擔60%的載荷,肩帶至少承擔40%的載荷。如果可以在不使用肩帶的情況下單獨使用安全帶,則安全帶必須具有單獨承受規定的慣性力的能力。
(h)使用頭靠時,頭靠及其支承結構必須設計成能承受本規定第27.561條規定的慣性力,此時接頭系數為1.33,頭部重量至少為6公斤(13磅)。
(i)每個座椅裝置系統包括諸如座椅、座墊、乘員約束系統和連接裝置。
(j)每個座椅裝置系統可以採用諸如允許座椅的某些零件壓壞或者分離的設計特性,以減少乘員在本規定第27.562條應急著陸動態情況下所受的載荷;否則,該系統必須保持完好無損並不得妨礙迅速撤離旋翼航空器。
(k)在旋翼航空器內為了運送不能行走,以躺臥為主的人員,要求設計有擔架設備。每個臥鋪或者擔架必須設計成能承受體重至少為77公斤(170磅)的乘員受到本規定第27.561條(b)款規定的前向慣性系數時的反作用力。對於與旋翼航空器縱軸呈小于或者等於15°安裝的臥鋪或者擔架,必須設有能承受向前載荷反作用力的包墊的端板、布擋板或者等效措施。對於與旋翼航空器縱軸呈大於15°安裝的臥鋪或者擔架,必須備有相應的約束設備,如綁帶或者安全帶,以承受前向載荷的反作用力。此外,還必須滿足下列要求:
(1)臥鋪或者擔架必須有約束系統,並不得有在緊急著陸情況下可能對其上人員造成嚴重傷害的棱角或者其他突出物;
(2)臥鋪或者擔架以及乘員約束系統與結構的連接件,必須設計成能承受由飛行和地面載荷情況以及本規定第27.561條(b)款規定的情況所産生的臨界載荷。應採用第27.625條(d)款規定的接頭系數。
第27.787條 貨艙和行李艙
(a)貨艙和行李艙必鬚根據其標明的最大載重,以及規定的飛行和地面載荷情況(本規定第27.561條的應急著陸情況除外)所對應的適當的最大載荷系數下的臨界載荷分佈進行設計。
(b)必須有措施防止任一艙內的裝載物在本條(a)款規定的載荷下因移動而造成危險。
(c)在本規定第27.561條規定的應急著陸情況下,貨艙和行李艙必須滿足下列要求之一:
(1)設置在當裝載物脫出時,不太可能傷及乘員或者妨礙供應急著陸後使用的任何撤離設施的位置;
(2)具有足夠的強度以承受本規定第27.561條規定的情況,包括本條(b)款所規定的約束裝置及其連接件,並能承受臨界裝載分佈情況下的最大批准的貨物和行李重量。
(d)如果貨艙中裝有燈,每盞燈的安裝必須避免燈泡和貨物接觸。
第27.801條 水上迫降
(a)如果申請具有水上迫降能力的合格審定,則旋翼航空器必須滿足本條和本規定第27.807條(d)款、第27.1411條和第27.1415條的要求。
(b)必須採取同旋翼航空器總特性相容的各種切實可行的設計措施,來儘量減小在水上應急降落時因旋翼航空器的運動和狀態使乘員立即受傷或者不能撤離的概率。
(c)必須通過模型試驗,或者與已知其水上迫降特性的構形相似的旋翼航空器進行比較,來檢查旋翼航空器在水上降落時可能的運動和狀態。各種進氣口、風門、突出部分以及任何其他可能影響旋翼航空器流體動力特性的因素,都必須予以考慮。
(d)必須表明,在合理可能的水上條件下,旋翼航空器的漂浮時間和配平能使所有乘員離開旋翼航空器,並乘上本規定第27.1415條所要求的救生筏,如果用浮力和配平計算來表明符合此規定,則必須適當考慮可能的結構損傷和滲漏。如果旋翼航空器具有可應急放油的燃油箱,而且該油箱能經受可合理預期的水上迫降而不滲漏,則能應急放出的燃油體積可作為産生浮力的體積。
(e)除非對旋翼航空器在水上降落時可能的運動和狀態(如本條(c)款和(d)款所述)的研究中,考慮了外部艙門和窗戶毀壞的影響,否則外部艙門和窗戶必須設計成能承受可能的最大局部壓力。
第27.805條 飛行機組應急出口
(a)對於飛行機組不方便利用旅客應急出口的旋翼航空器,必須在飛行機組所在區域的旋翼航空器兩側設置飛行機組應急出口或者用一個頂部出口代之。
(b)必須用試驗表明,每個飛行機組應急出口有足夠的尺寸,而且其位置必須便於飛行機組迅速撤離。
(c)必須通過試驗、演示或者分析來表明,當應急降落水上後,水或者漂浮裝置不得妨礙每個應急出口的使用。
第27.807條 應急出口
(a)數目和位置
(1)在客艙每一邊,必須至少有一個使每個旅客容易接近的應急出口,在由於墜撞産生的任何可能姿態下,這些應急出口中必須有一個能被使用;
(2)只要它們符合本條的要求,預定作為正常使用的艙門也可用作應急出口;
(3)如果安裝有應急漂浮裝置,則必須在客艙每側有一個使每個旅客容易接近的應急出口,並用試驗、演示或者分析表明符合下列要求:
(ⅰ)在水線之上;
(ⅱ)不論是存放的或者打開的漂浮裝置都不得干擾應急出口的開啟。
(b)型式和操作
本條(a)款規定的各應急出口必須滿足下列要求:
(1)由可拆卸窗口或者壁板,或者由附加的外門組成,應急出口為一個480×660毫米(19×26英寸)的橢圓形通暢開口;
(2)從內部和從外部打開的方法均簡單明瞭且都不要求特別費力;
(3)其佈置和標記,即使在黑暗中也容易找到和使用;
(4)有適當的防護措施,以防止由於機身變形而卡住。
(c)試驗
每一應急出口的正常功能必須用試驗表明。
(d)水上迫降旅客應急出口
如果申請具有水上迫降的合格審定,則本條(b)款(3)項要求的標記,必須設計成即使旋翼航空器傾覆和客艙浸在水中也能保持看得見。
第27.831條 通風
(a)駕駛艙及客艙通風系統必須設計得能防止在艙內有過量的油煙和一氧化碳出現。
(b)在前飛或者無風懸停時,艙內空氣中的一氧化碳濃度不得超過二萬分之一。如果在其他情況下超過了這個值,則必須有相應的使用限制。
第27.833條 加溫器
每一個燃燒加溫器必須經過批准。
第七節 防 火
第27.853條 座艙內部設施
供機組或者乘客使用的每個艙必須滿足下列要求:
(a)所有材料必須至少是阻燃的;
(b)[備用]
(c)如果禁止吸煙,必須有相應的説明標牌,如果允許吸煙,則應滿足下列要求:
(1)必須有足夠數量的可卸的包容式煙灰盒;
(2)如果機組艙和客艙是隔開的,則必須至少有一個在禁止吸煙時能通知所有乘客的有照明的告示牌(用字或者符號均可),該告示牌必須符合下列規定:
(ⅰ)在所有可能的照明情況下,告示牌照亮時能使客艙中每個坐著的乘客看清;
(ⅱ)該告示牌的照明應設計成能由機組接通和斷開。
第27.855條 貨艙和行李艙
(a)每個貨艙和行李艙必須由至少滿足下列要求的材料鋪設或者內襯:
(1)在飛行中機組成員容易接近的艙是阻燃的;
(2)在其他各艙是耐火的。
(b)艙內不得有一旦損壞或者失效會影響安全運作的任何操縱機構、導線、管路、設備或者附件,除非這些項目有滿足下列要求的保護措施:
(1)艙內貨物的移動不會損壞這些項目;
(2)這些項目的破損或者失效不會引起著火危險。
第27.859條 加溫系統
(a)概述
對於包括座艙通氣管或者排氣管的每個加溫系統,必須有措施防止一氧化碳進入座艙或者駕駛艙。
(b)熱交換器
每個熱交換器必須符合下列規定:
(1)用適當的材料製造;
(2)在所有情況下都能充分冷卻;
(3)容易拆開進行檢查。
(c)燃燒加溫器的防火
除非已在加溫器設計中採取了在加溫器燃油系統出現燃油泄漏、通風管道著火或者其他任何加溫器故障情況下,防止危險發生的措施,否則對加溫器區域必須考慮本規定第27.1183條、第27.1185條、第27.1189條和第27.1191條有關防火特性的適用要求,並提供:
(1)經批准的快速反應火警探測器,並在數量和佈局上保證迅速探測到加溫器區域的火警。
(2)滅火器系統其對加溫器區域的整個面積至少提供一個足夠流量的噴頭。
(3)各區域各部位的完整排放措施,以最大限度地減少因含有可燃液體的部件失效或者故障造成的危險。排放措施必須:
(ⅰ)在預期經常需要排放的情況下是有效的;
(ⅱ)合理安排以避免所排出的液體産生其他火災。
(4)合理安排的通風設施,以避免所排出的蒸氣造成其他火災。
(d)通風管道
通過任何加溫器區域的每根通風管道都必須是防火的。此外,還必須滿足下列要求:
(1)除非備有防火閥或者用等效裝置進行隔離,否則處於每個加溫器下游的通風管道必須有足夠長的一段是防火的,以確保能包容加溫器內的任何火焰;
(2)通風管道通過裝有可燃液體系統的任一區域的每一部分必須與該系統隔離,或者構造成在該系統的任何部件發生故障時,可燃液體或者蒸氣不會進入通風氣流中。
(e)燃燒空氣管道
每根燃燒空氣管道必須有足夠的一段是防火的,以防止因回火或者反向火焰蔓延而引起損壞。此外,還必須符合下列規定:
(1)燃燒空氣管道不得與通風氣流連通,除非在任何工作條件下,包括倒流或者加溫器或者其有關的部件發生故障時,回火或者反向燃燒的火焰不會進入通風氣流;
(2)燃燒空氣管道不得限制回火的迅速釋放,除非該限制不會導致加溫器失效。
(f)加溫器操縱裝置的通用要求
必須有措施防止在加溫器操縱部件、操縱系統管路或者安全控制裝置的外表面或者內部産生水或者冰的危險積聚。
(g)加溫器安全控制裝置
對於每個燃燒加溫器,必須備有下列安全控制裝置:
(1)每個加溫器必須備有與正常連續控制空氣溫度、空氣流量和燃油流量的部件無關的獨立裝置,當發生下列任一情況時,能在遠離加溫器處自動切斷該加溫器的點火和供油:
(ⅰ)熱交換器的溫度超過安全限制;
(ⅱ)通風空氣的溫度超過安全限制;
(ⅲ)燃燒空氣流量變得不適於安全工作;
(ⅳ)通風空氣流量變得不適於安全工作。
(2)對於任何單個加溫器,用於符合本條(g)款(1)項要求的安全控制裝置必須符合下列規定:
(ⅰ)與任何其他加溫器(其供熱對安全運作是至關重要的)所用的部件無關;
(ⅱ)保持加溫器斷開,直到機組重新起動為止。
(3)必須有措施能在任何加溫器(其供熱對安全運作是至關重要的)被本條(g)款(1)項規定的自動裝置切斷後,向機組發出警告。
(h)空氣進口
每個供燃燒和通風用的空氣進口的設置,必須使得在下列任何工作條件下都不會有可燃液體或者蒸氣進入加溫器系統:
(1)正常工作期間;
(2)任何其他部件發生故障後。
(i)加溫器排氣
加溫器排氣系統必須滿足本規定第27.1121條和第27.1123條的要求。此外,還必須符合下列規定:
(1)每個排氣管套必須是密封的,以防止可燃液體或者危險量的蒸氣通過接頭進入排氣系統;
(2)排氣系統不得限制回火的迅速釋放,除非該限制不會導致加溫器失效。
(j)加溫器燃油系統
每個加溫器的燃油系統,必須滿足對加溫器安全運作有影響的動力裝置燃油系統的要求。位於通風氣流中的每個加溫器燃油系統部件必須用外罩保護,以使得這些部件的漏油不會進入通風氣流。
(k)排放裝置
必須有排放裝置安全排放任何可能積聚在燃燒室或者熱交換器中的燃油。該裝置必須符合下列規定:
(1)排放裝置在高溫下工作的每一部分,必須具有與加溫器排放裝置相同的保護;
(2)必須防止每個排放裝置在任何運作條件下出現危險的結冰。
第27.861條 結構、操縱器件和其他部件的防火
受動力裝置著火影響的結構部件、操縱器件、旋翼機構的每個部件以及可控著陸必不可少的其他部件,都必須是防火的或者加以保護,以便在任何可預見的動力裝置著火情況下,能執行其重要的功能至少5分鐘。
第27.863條 可燃液體的防火
(a)凡可燃液體或者蒸氣可能因液體系統滲漏而逸出的區域,必須有措施儘量減小液體和蒸氣點燃的概率,以及萬一點燃後的危險後果。
(b)必須用分析或者試驗的方法表明符合本條(a)款的要求,同時必須考慮下列因素:
(1)液體滲漏的可能漏源和途徑,以及探測滲漏的方法;
(2)液體的可燃特性,包括任何可燃材料或者吸液材料的影響;
(3)可能的引燃火源,包括電氣故障、設備過熱和防護裝置失效;
(4)可用於抑制燃燒或者滅火的手段,例如截止液體流動,關斷設備,採用防火包容物或者使用滅火劑;
(5)對於飛行安全是關鍵性的各種旋翼航空器部件的耐火耐熱能力。
(c)如果要求飛行機組採取行動(例如關斷設備或者起動滅火瓶)來預防或者處置液體著火,則必須備有迅速動作的向機組報警的裝置。
(d)凡可燃液體或者蒸氣有可能因液體系統滲漏而逸出的區域,必須確定其部位和範圍。
第八節 外挂物
第27.865條 外挂物
(a)必須通過分析或者試驗或者兩者結合的方法表明,對於申請用於無人外挂載重的旋翼航空器-裝載組合的旋翼航空器外挂物的吊挂設備,能承受等於2.5或者按照本規定第27.337條至第27.341條規定的某一較小的載荷系數乘以經申請批准的最大外挂物的重量所産生的限制靜載荷。必須通過分析或者試驗或者兩者結合的方法表明,對於申請用於有人外挂載重的旋翼航空器-裝載組合的旋翼航空器外挂物的吊挂設備和相應的載人裝置,能承受等於3.5或者按照本規定第27.337條至第27.341條規定的某一較小但不小于2.5的系數乘以經申請批准的最大外挂物的重量所産生的限制靜載荷。對於任何級別旋翼航空器-裝載組合和任何類型外挂載重的載荷,必須作用在垂直方向。對於任何適用的外挂載重類型的可拋放外挂物,其載荷也必須作用在使用中所能達到的與垂直方向成最大角度的任何方向上,但不小于30°,然而,如果符合下列情況之一,此30°角可以降至更小的角度:
(1)制定使用限制,把外挂物的作用限制到已表明符合本條要求的角度之內;
(2)已表明在使用中不會超過此較小的角度。
(b)對於可拋放式旋翼航空器-裝載組合的外挂物的吊挂設備,必須具有使駕駛員在飛行中能快速釋放外挂物的釋放系統。該快速釋放系統必須由一個主快速釋放子系統和一個備用快速釋放子系統組成,且這兩個子系統是相互獨立的。該快速釋放系統及其操縱機構必須滿足下列要求:
(1)主快速釋放子系統的操縱機構,必須安裝在駕駛員的主操縱機構上或者等同的可接近位置處。而且必須設計和佈置成在應急情況下可以由駕駛員或者機組成員操縱它,且沒有危險地限制他們操縱旋翼航空器的能力。
(2)備用快速釋放子系統的操縱機構,必須使得駕駛員或者其他機組成員易於接近。
(3)主、備用快速釋放子系統必須滿足下列要求:
(ⅰ)在帶所有外挂物直到包括經申請批准的最大外挂限制載荷情況下,其工作正常、可靠和耐久;
(ⅱ)能防止從外部和內部來的電磁干擾和進行閃電防護,以預防意外的載荷釋放:
(A)對於用於無人外挂載重的可拋放式旋翼航空器-裝載組合,要求的最小防護水準為20伏/米的射頻場強;
(B)對於用於有人外挂載重的可拋放式旋翼航空器-裝載組合,要求的最小防護水準為200伏/米的射頻場強;
(ⅲ)對可能由旋翼航空器任何其他電氣或者機械系統的失效模式引起的任何失效進行保護。
(c)對於用於有人外挂載重的旋翼航空器-裝載組合,旋翼航空器必須符合下列規定:
(1)對於可拋放外挂物,要有符合本條(b)款要求的快速釋放系統,並且:
(ⅰ)為主快速釋放子系統提供一套雙作動裝置;
(ⅱ)為備用快速釋放子系統提供一套隔開的雙作動裝置。
(2)具有可靠且經批准的載人裝置,該系統具有對於外部乘員安全必不可少的結構功能和人員安全特性。
(3)在所有適當位置設置標牌和標記,清楚標明重要系統的操作指南;對於載人裝置,還要標明進出指南。
(4)設置指定的機組成員和外部人員直接通話的設備。
(5)在飛行手冊中包含有執行有人外挂載重操縱的適當的限制和程式。
(d)臨界構型的可拋放外挂物必須用分析、地面試驗和飛行試驗相結合的方法表明在正常飛行條件下,在整個批准的使用包線內是可以運輸和釋放的,且對旋翼航空器不會産生危險。另外必須表明在應急飛行情況下,外挂是可以釋放的且不會危及旋翼航空器。
(e)外挂物吊挂設備附近必須設置標牌或者標記,其上清楚標明本規定第27.25條和本條所規定的使用限制和經批准的最大外挂載重。
(f)對於用於無人外挂載重的旋翼航空器-裝載組合,本規定第27.571條疲勞評定不適用,但關鍵結構部件失效會導致旋翼航空器發生危險除外。對於用於有人外挂載重的旋翼航空器-裝載組合,本規定第27.571條疲勞評定適用於整個快速釋放系統和載人裝置結構系統及其連接件。
第九節 其 他
第27.871條 水準測量標記
必須有在地面為旋翼航空器調水準的基準標記。
第27.873條 配重設施
配重設施必須設計和製造成能防止配重在飛行中偶然移動。
E章 動力裝置
第一節 一般規定
第27.901條 動力裝置
(a)就本規定而言,旋翼航空器動力裝置包括下列部件(除主旋翼和輔助旋翼結構外):
(1)推進所必需的部件;
(2)與主推進裝置操縱有關的部件;
(3)在正常檢查或者翻修間隔期間內與主推進裝置安全有關的部件。
(b)對於動力裝置,必須滿足下列要求:
(1)動力裝置各部件的構造、佈置和安裝必須保證在正常檢查或者翻修間隔期間內,在申請批准的溫度和高度範圍內,能繼續保持其安全運轉;
(2)其裝置必須是可達的,以進行持續適航性所必要的檢查和維護;
(3)裝置的主要部件必須與旋翼航空器其他部分電氣搭接,以防止産生電位差;
(4)渦輪發動機的軸向和徑向膨脹不得影響動力裝置的安全;
(5)必須採取設計預防措施,將旋翼航空器安全運作所必需的部件和設備不正確裝配的可能性減至最小,除非能表明,在不正確裝配下的運作是極不可能的。
(c)動力裝置必須符合下列規定:
(1)《航空發動機適航規定》(CCAR–33)規定的安裝説明書;
(2)本章中適用的規定。
第27.903條 發動機
(a)發動機型號合格證
每型發動機必須有經批准的型號合格證。用於直升機的活塞發動機必須符合《航空發動機適航規定》(CCAR–33)第33.49條(d)款的要求,或者按其預定用途以其他方式批准。
(b)發動機或者傳動系統冷卻風扇葉片的保護
(1)如果安裝了發動機或者旋翼傳動系統的冷卻風扇,則必須具有當風扇的葉片損壞時保護旋翼航空器並使其安全著陸的措施。這項要求必須由下列規定之一表明:
(ⅰ)在損壞時,風扇葉片被包容;
(ⅱ)每台風扇的安裝使得葉片損壞時,不會危及旋翼航空器的安全;
(ⅲ)每個風扇葉片能承受由下述條件限制的使用中預期出現的離心力的1.5倍極限載荷:
(A)對於直接由發動機驅動的風扇,由下列條件之一限制:
①在無控制情況下,發動機達到的極限轉速;
②超轉限制裝置的限制轉速;
(B)對於由旋翼傳動系統傳動的風扇,為包括瞬態在內的使用中預期出現的旋翼傳動系統的最大轉速。
(2)除非按照本規定第27.571條的要求進行了疲勞評定,否則必須表明,在旋翼航空器的使用限制內,冷卻風扇葉片不在共振狀態下工作。
(c)渦輪發動機安裝
對於渦輪發動機安裝,與發動機各控制裝置、系統和儀錶有關的各動力裝置系統的設計,必須能合理保證在服役中不會超過對渦輪轉子結構完整性有不利影響的發動機使用限制。
(d)再起動能力
(1)必須有在飛行中再起動任何發動機的措施;
(2)除非在飛行中所有發動機停車,發動機再起動能力必須在旋翼航空器的整個飛行包線內演示;
(3)在飛行中所有發動機停車後,發動機必須有在飛行中再起動的能力。
第27.907條 發動機振動
(a)發動機安裝必須防止發動機或者旋翼航空器的任何部件産生有害振動。
(b)旋翼和旋翼傳動系統與發動機組合後,不得使發動機的主要轉動部件承受過大的振動應力,這項要求必須經由振動研究來表明。
(c)旋翼傳動系統的部件不得承受過大的振動應力。
第二節 旋翼傳動系統
第27.917條 設計
(a)當發動機失效時,旋翼傳動系統必須具有把該發動機與主旋翼和輔助旋翼自動脫開的裝置。
(b)旋翼傳動系統的佈置,必須使得發動機與主旋翼和輔助旋翼脫開後,主旋翼仍能繼續驅動在自轉中對於操縱旋翼航空器所必需的每個旋翼。
(c)如果旋翼傳動系統中採用了扭矩限制裝置,則該裝置必須佈置得當其工作時,能夠連續地操縱旋翼航空器。
(d)旋翼傳動系統是指將功率從發動機傳至旋翼槳轂所必需的各部件,包括減速器、傳動軸係、萬向接頭、聯軸器、旋翼剎車裝置、離合器、軸係支承裝置,以及任何連接到或者安裝在旋翼傳動系統上的附件安裝座、附件傳動裝置、冷卻風扇。
第27.921條 旋翼剎車
如果旋翼傳動系統中採用了一種能控制旋翼轉動又與發動機無關的機構,則必須規定此機構的使用限制,並且對此機構的操縱必須具有防止誤動的措施。
第27.923條 旋翼傳動系統和操縱機構的試驗
(a)按照本條規定進行試驗的部件,在試驗結束時,必須處於可使用狀態。試驗中不得進行可能影響試驗結果的拆卸。
(b)旋翼傳動系統和操縱機構的試驗必須不少於100小時,試驗必須在旋翼航空器上進行,扭矩必須由安裝在其上的旋翼吸收。但是,如果支承和振動條件是嚴格模擬旋翼航空器試驗中的條件,可採用其他地面或者飛行試驗設備以適當的方法吸收其扭矩。
(c)本條(b)款所規定的試驗中,有60小時必須在不小于發動機最大連續扭矩及相應于最大連續扭矩的最大轉速下試車。進行此試驗時,為模擬前飛,主旋翼操縱機構必須置於産生最大縱向週期變距的位置。輔助旋翼的操縱機構必須處於在試驗條件下的正常工作位置。
(d)本條(b)款所規定的試驗中,有30小時(對於申請使用30分鐘一台發動機不工作(OEI)功率或者連續一台發動機不工作(OEI)功率的旋翼航空器,為25小時)必須在不小于75%發動機最大連續扭矩和相應于75%最大連續扭矩的最小發動機轉速條件下試車。主旋翼和輔助旋翼操縱機構必須處於試驗條件的正常工作位置。
(e)本條(b)款所規定的試驗中,有10小時必須在不小于發動機起飛扭矩和相應于起飛扭矩的最大轉速下試車。主旋翼和輔助旋翼操縱機構必須處於垂直爬升狀態的正常工作位置。
(1)對於申請使用 分鐘一台發動機不工作(OEI)功率的多發旋翼航空器,在10小時試驗中必須按照下列要求進行12次試車:
(ⅰ)每次試車必須至少有一次使所有發動機都在起飛扭矩和相應于起飛扭矩的最大轉速下試車 分鐘;
(ⅱ)每次試車中必須至少有一次逐次模擬每台發動機失效,而其餘發動機以 分鐘一台發動機不工作(OEI)扭矩和相應于 分鐘一台發動機不工作(OEI)扭矩的最大轉速下試車 分鐘。
(2)對於申請使用30秒鐘和2分鐘一台發動機不工作(OEI)功率的多發渦輪發動機的旋翼航空器,必須按照下列要求進行10次試車:
(ⅰ)緊接在至少5分鐘的起飛試車後,必須逐次模擬每一動力源的一次失效,並且將30秒鐘一台發動機不工作(OEI)功率的最大扭矩和最大轉速作用於剩餘的受影響傳動系統功率輸入端試車不少於30秒鐘。接著使用2分鐘一台發動機不工作(OEI)功率的最大扭矩和相應與2分鐘一台發動機不工作(OEI)功率的最大轉速試車不少於2分鐘。至少有一次試車順序是從模擬“飛行慢車”狀態開始進行的。當在試車臺上進行試車時,試車程式必須在起飛功率狀態穩定後進行。
(ⅱ)就本條而言,受影響功率輸入端包括試驗中由於使用較高或者不對稱的扭矩和轉速可能受到不利影響的旋翼傳動系統所有部件。
(ⅲ)當發動機限制不允許在試驗中重復使用該功率或者將導致發動機在試驗期間提前拆除時,此試驗可以在一個典型的試車臺上進行。作用在受影響的旋翼傳動系統部件上的載荷、振動頻率和方法必須能代表旋翼航空器工況。試驗部件必須是用於表明本條其餘條款符合性的那些部件。
(f)本條(c)款和(d)款規定的試驗可以在地面或者飛行中完成,試驗間隔時間必須不少於30分鐘。本條(e)款規定的每次試驗間隔時間必須不少於5分鐘。
(g)本條(c)款、(d)款和(e)款規定的試驗中,在不大於5小時的時間間隔內,發動機必須快速停車,足以使發動機及旋翼傳動裝置與旋翼自動脫開。
(h)本條(c)款所規定的運作狀態下,必須完成主旋翼縱向、橫向、輔助旋翼的全週期操縱各500次。全週期是指操縱機構從中立位置到兩極限位置再返回中立位置的移動(操縱機構的移動不需産生超過飛行中遇到的最大載荷或者揮舞運動)。此週期操縱可在本條(c)款規定的試驗中完成。
(i)必須按照下列要求至少完成200次離合器的嚙合試驗:
(1)使離合器的傳動軸從動端加速轉動;
(2)用申請人選擇的轉速和方法。
(j)對於申請使用30分鐘一台發動機不工作(OEI)功率的多發旋翼航空器,必須在30分鐘一台發動機不工作(OEI)扭矩和相應于30分鐘一台發動機不工作(OEI)扭矩的最大轉速下運轉5次,在每次運轉中,必須依次使每台發動機不運轉,而其餘發動機運轉30分鐘。
(k)對於申請使用連續一台發動機不工作(OEI)功率的多發旋翼航空器,必須在連續一台發動機不工作(OEI)扭矩和相應于連續一台發動機不工作(OEI)扭矩的最大轉速下運轉5次,在每次運轉中,必須依次使每台發動機不運轉,而其餘發動機運轉1小時。
第27.927條 附加試驗
(a)必須進行為了確定旋翼傳動機構安全性所必需的附加的動態試驗、耐久性試驗、運轉試驗以及振動研究。
(b)如果渦輪發動機傳輸給傳動裝置的輸出扭矩,可能超過發動機或者傳動裝置的最大扭矩限制值,且該扭矩在正常工作條件下,不是由飛行員直接操縱(例如發動機功率的主要操縱是通過飛行操縱實現的),則必須進行下列試驗:
(1)在與所有發動機工作有關的狀態下,做200次運轉試車,每次10秒鐘,扭矩至少等於下列的較小值:
(ⅰ)滿足本規定第27.923條使用的最大扭矩加10%;
(ⅱ)發動機可能達到的最大輸出扭矩,如果安裝了扭矩限制器,假設其功能正常。
(2)對於多發旋翼航空器,在與每台發動機逐次不工作的相關狀態下,使傳動裝置的其餘扭矩輸入端施加在可能工作條件下所能達到的最大扭矩值(如果安裝了扭矩限制器,假設其功能正常),每個傳動裝置輸入端在最大扭矩條件下必須至少試驗15分鐘。
(3)本款規定的試驗必須在旋翼航空器上以試驗功率狀態預期使用的最大轉速下進行,扭矩必須由安裝在其上的旋翼吸收。如果其他地面或飛行試驗設備採用適當的扭矩吸收方法,並且其支承和振動能嚴格模擬旋翼航空器試驗時的工況,則可採用此類替代設備進行試驗。
(c)必須用試驗表明,在旋翼傳動系統的主滑油系統壓力損失後,旋翼傳動系統能夠在自轉條件下運轉15分鐘。
第27.931條 軸係的臨界轉速
(a)任何軸係的臨界轉速必須經演示確定。如果對特定的設計有可靠的分析方法,則可採用該分析方法。
(b)如果任一臨界轉速位於或者接近慢車、有動力和自轉狀態的轉速範圍,則必須通過試驗表明,在此轉速下所産生的應力必須在安全限制內。
(c)如果採用分析方法表明臨界轉速不在允許使用的轉速範圍內,則計算的臨界轉速和允許使用轉速限制範圍之間的余量必須是足夠的,以考慮計算值與實際值之間可能的變化。
第27.935條 軸係接頭
工作中需要潤滑的每個萬向接頭、滑動接頭和其他軸係接頭,必須有潤滑措施。
第27.939條 渦輪發動機工作特性
(a)必須在飛行中檢查渦輪發動機的工作特性,以確認在旋翼航空器和發動機使用限制範圍內的正常和應急使用期間,不會出現達到危險程度的不利特性(如失速、喘振、熄火)。
(b)在正常運作期間,渦輪發動機的進氣系統不得由於氣流畸變的影響而引起有害於發動機的振動。
(c)對於調節器控制的發動機,必須表明傳動系統不存在與功率、轉速和操縱位移的臨界組合有關的危險的扭轉不穩定性。
第三節 燃油系統
第27.951條 通用要求
(a)燃油系統的構造和佈置必須保證在各種很可能的工作條件下,包括申請合格審定的各種機動狀態下,均能滿足發動機正常工作所需要的燃油流量和壓力。
(b)燃油系統的佈置必須滿足下列要求之一:
(1)燃油泵不能同時從一個以上油箱內吸油;
(2)具有防止空氣進入該系統的設施。
(c)用於渦輪發動機的燃油系統在使用下述狀態的燃油時,必須能在其整個流量和壓力範圍內持續工作:燃油先在27℃(80℉)時用水飽和,然後每10升燃油添加2毫升游離水(每1美加侖含0.75毫升),冷卻到在運作中可能遇到的最臨界結冰條件。
第27.952條 燃油系統的抗墜撞性
除非採用了局方可接受的其他方法,以最大限度減少可生存的撞擊(墜撞著陸)後燃油著火對乘員的危害,否則,燃油系統必須包括本條規定的設計特性。必須表明系統能夠承受本條規定的靜態和動態減速載荷,而不會導致系統部件、燃油箱或者附件發生可能導致燃油泄漏到點火源的結構損傷。上述載荷按單獨作用的極限載荷考慮,並在部件重心處測量。
(a)墜落試驗要求
每一油箱或者最關鍵的油箱,必須按照下列要求進行墜落試驗:
(1)下落高度必須至少15.2米(50英尺);
(2)下落撞擊的表面必須是不變形的;
(3)油箱必須裝有80%正常滿容量的水;
(4)油箱必須被對其安裝有代表性的周圍結構包圍,除非能確定周圍結構無突起或者其他可能導致油箱破裂的設計特徵;
(5)油箱必須自由下落並以水準位置±10°碰撞;
(6)墜落試驗後必須無泄漏。
(b)燃油箱載荷系數
除非油箱安裝使得其破裂會使燃油釋放到任一主要的點火源(例如發動機、加溫器和輔助動力裝置)或者乘員的情況是極小可能的,每個燃油箱的設計和安裝必須在下列極限慣性載荷系數單獨作用下能保持箱內油量:
(1)客艙內的燃油箱:
(ⅰ)向上4g;
(ⅱ)向前16g;
(ⅲ)側向8g;
(ⅳ)向下20g。
(2)位於機組艙或者客艙上方或者後方的燃油箱(在應急著陸中如鬆開會傷害乘員):
(ⅰ)向上1.5g;
(ⅱ)向前8g;
(ⅲ)側向2g;
(ⅳ)向下4g。
(3)位於其他區域內的燃油箱:
(ⅰ)向上1.5g;
(ⅱ)向前4g;
(ⅲ)側向2g;
(ⅳ)向下4g。
(c)燃油管路自密封式脫落接頭
除非證明燃油系統部件之間,或者與旋翼航空器局部結構之間極不可能出現危險的相對運動,或者採用可以防止前述相對運動的其他措施,否則必須安裝自密封式脫落接頭。所有的燃油箱與燃油管連接處、燃油箱與燃油箱連接處和燃油系統中因局部結構變形而導致燃油釋放的其他位置,必須安裝該接頭或者等效的裝置。
(1)自密封式脫落接頭的設計和構造必須具有下列設計特性:
(ⅰ)脫落接頭的分離載荷必須是供油管路中最弱部件的最小極限失效載荷(極限強度)的25%-50%之間,不論管路尺寸大小,分離載荷必須不小于136公斤(300磅);
(ⅱ)只要以最可能出現的失效模式施加極限載荷(本條(c)款(1)項(ⅰ)目中所定義),脫落接頭就必須分離;
(ⅲ)所有的脫落接頭必須具有設計措施,以便在正常安裝和使用期間可憑視覺判斷該接頭是鎖緊的(無泄漏)或者是打開的;
(ⅳ)所有的脫落接頭必須具有設計措施,以防止由於運作衝擊、振動或者加速而導致脫開或者無意中關閉;
(ⅴ)設計上脫落接頭在完成預期的功能後,不得造成燃油釋放。
(2)所有獨立的連接燃油供油系統的脫落接頭或者等效裝置的設計、試驗、安裝和維護,必須使得在按照本規定第27.955條(a)款工作時,不可能在飛行中出現意外的燃油切斷。並必須符合本規定第27.571條疲勞評定的要求而無泄漏。
(3)脫落接頭的替代、等效裝置,在安裝該裝置的燃油管路上,由可生存撞擊引起的載荷不得大於管路中最弱部件的極限載荷(強度)的25%-50%,且必須符合本規定第27.571條疲勞評定的要求而無泄漏。
(d)易碎的或者易變形的結構連接件
除非證明在可生存撞擊中燃油箱和燃油系統部件與所在位置的旋翼航空器結構之間的危險的相對運動是極不可能的,否則,燃油箱和燃油系統部件與所在位置的旋翼航空器結構之間必須用易碎的或者局部易變形的連接件連接。燃油箱和燃油系統部件與所在位置的旋翼航空器結構之間的連接,無論是易碎的或者局部易變形的,必須設計成其分離或者相對的局部變形不會産生燃油箱或者燃油系統部件的破裂或者局部撕裂,而導致燃油泄漏。易碎的或者易變形的連接件的極限強度必須滿足下列要求:
(1)將易碎連接件從其支撐結構上分離或者使局部易變形連接件相對於其支撐結構的變形所需要的載荷,必須為被連接系統中最弱的部件的最小極限載荷(強度)的25%-50%之間,任何情況下該載荷不得小于136公斤(300磅);
(2)當以最可能出現的模式施加極限載荷(如本條(d)款(1)項中定義)時,易碎的或者局部易變形連接件必須如預期那樣出現分離或者局部變形;
(3)所有易碎的或者局部易變形的連接件必須符合本規定第27.571條疲勞評定的要求。
(e)燃油和點火源的隔離
為了提供最大的抗墜撞性,燃油的位置必須盡可能地遠離所有的乘員區和潛在的點火源。
(f)其他基本的機械設計準則
燃油箱、燃油管路、導線和電氣裝置的設計、構造和安裝必須盡可能是抗墜撞的。
(g)剛性或者半剛性的燃油箱
剛性或者半剛性的燃油箱或者囊壁必須抗撞擊和抗撕裂。
第27.953條 燃油系統的獨立性
(a)對於多發旋翼航空器的燃油系統,向每台發動機供油都必須通過一個與其他發動機供油系統相獨立的系統供油,但是對每台發動機供油的油箱不必相互獨立。
(b)如果多發旋翼航空器使用單個油箱,則必須滿足下列要求:
(1)對於每台發動機,要有單獨的油箱出油口,並在油箱每個出油口上設有切斷閥。如果該閥和發動機艙之間的管路中,不會積存可排入發動機艙危險數量的燃油,則該切斷閥也可作為本規定第27.995條所要求的防火牆切斷閥。
(2)至少有兩個通氣口,它們應設置在被同時堵塞的概率最小的位置。
(3)加油口蓋應設計成使錯誤安裝或者在飛行中丟失的概率減至最小。
(4)在該燃油系統中,從每個油箱出口到任一發動機的部件要與向其他發動機供油系統的每個部件相互獨立。
第27.954條 燃油系統的閃電防護
燃油系統的設計和佈置,必須能防止在下列情況下點燃該系統內的燃油蒸氣:
(a)在雷擊附著概率高的區域發生直接雷擊;
(b)在極可能受掃掠雷擊區域發生掃掠雷擊;
(c)在燃油通氣口處産生電暈放電和流光。
第27.955條 燃油流量
(a)通用要求
必須表明用於每台發動機的燃油系統,在經批准的旋翼航空器的每種運作條件和機動飛行狀態下,至少能提供發動機所需的100%燃油(如果適用,還包括按照本規定第27.927條要求的試驗狀態運轉發動機所需的燃油量)。除非採用等效的方法,否則必須通過滿足下列規定的試驗來表明符合性,但不需要考慮不可能發生的組合情況:
(1)經臨界加速度(載荷系數)校正的燃油壓力必須在發動機型號合格證數據單規定的限制範圍內;
(2)燃油箱內的燃油量不得超過本規定第27.959條確定的該油箱不可用油量與驗證本條符合性時所需的油量之和;
(3)對於旋翼航空器的飛行姿態而言,燃油箱出口與發動機進口之間的燃油壓頭必須是臨界的;
(4)對泵供油系統應安裝臨界燃油泵,以便産生(用實際或者模擬的失效)泵失效所預期的燃油流量的臨界限制;
(5)必須使用發動機轉速、電源或者燃油泵的其他動力源的臨界值;
(6)必須採用對燃油流量有不利影響的臨界燃油特性值;
(7)必須使本規定第27.997條要求的燃油濾堵塞到能模擬燃油污染物積累達到按照第27.1305條(q)款要求的指示器動作所必要的程度。
(b)燃油輸油系統
如果燃油系統正常運作時要求燃油能輸送到發動機供油油箱,則必須通過一個系統來自動進行。該系統必須已經表明在旋翼航空器飛行或者地面運作時,能保持接收油箱內的燃油量在允許的限制範圍內。
(c)多個燃油箱
如果一台發動機可由一個以上的燃油箱供油,則除了具備適當的手動切換功能外,燃油系統還必須設計成,在正常運作過程中,當向發動機供油的任一油箱耗盡可用燃油,而其他通常單獨向該發動機供油的油箱還有可用燃油時,無需飛行機組關注即可防止該發動機的供油中斷。
第27.959條 不可用燃油量
每個燃油箱的不可用燃油量必須確定為不小于下述油量:對需由該油箱供油的所有預定運作和機動飛行,在最不利供油條件下,發動機工作開始出現不正常時該油箱內的油量。
第27.961條 燃油系統在熱氣候條件下的工作
對於虹吸式燃油系統和其他易形成油氣的燃油系統,必須用試驗表明,在臨界工作條件下(如果適用,還包括本規定第27.927條(b)款(1)項和(b)款(2)項定義的發動機工作狀態),燃油溫度為43°C(110℉)時,發動機能在合格審定範圍內良好運作。
第27.963條 燃油箱:通用要求
(a)每個燃油箱必須承受運作中可能遇到的振動、慣性、油液及結構的載荷而不損壞。
(b)容量等於或者大於38升(10美加侖)的油箱,必須有內隔板或者外部支承,以承受燃油振蕩。
(c)燃油箱必須用防火牆與發動機艙隔開,燃油箱與防火牆之間必須至少有13毫米(1/2英寸)空隙。
(d)鄰近油箱表面的空間必須通氣,以便一旦漏油時,燃油蒸氣不能積聚在油箱艙。如果兩個或者兩個以上的油箱有互相連通的出口,那麼這些油箱必須看成是一個油箱,這些油箱的通氣空間也必須相互連通,以防止由於這些油箱間通氣壓力差而引起燃油從一個油箱流向另一個油箱。
(e)燃油箱任一部件暴露表面的最高溫度,必須按局方規定的安全裕度,低於燃油箱中燃油或者燃油蒸氣預期的最低自燃溫度。必須在燃油箱內部所有部件的全部工作狀態下和所有失效或者故障條件下,表明本要求的符合性。
(f)安裝在座艙內的每一個燃油箱,必須用能向旋翼航空器外部排放和通氣的耐油氣和耐燃油的防護外罩隔離。外罩的設計和構造必須對油箱提供必要的防護,在遭受本規定第27.952條所述的可生存撞擊時,必須是抗墜撞的,且必須足以承受在座艙內所預期的載荷和磨損。
(g)每個軟燃油箱囊或者軟燃油箱必須經批准或者表明適合於特定用途,並且必須是抗刺穿的。抗刺穿性必須通過滿足《柔性油箱材料》(CTSO–C80)附錄1第16條的要求(使用不小于168公斤(370磅)刺穿力)來表明。
(h)整體油箱必須有進行內部檢查和修理的設備。
第27.965條 燃油箱試驗
(a)每個燃油箱必須能承受本條所規定的壓力試驗而不損壞或者滲漏。如實際可行,可模擬使用中的壓力分佈進行壓力試驗。
(b)每個普通金屬油箱、箱壁不支承于旋翼航空器結構的非金屬油箱以及整體油箱,必須承受24.2千帕(3.5磅/英寸2)的壓力。除非當油箱滿油並承受的最大極限加速度或者應急負加速度産生的壓力超過以上數值時,必須施加一個盡可能相當於上述加速度載荷的靜壓頭或者等效試驗。但是,不承受加速度載荷的油箱表面,其壓力不必超過24.2千帕(3.5磅/英寸2)。
(c)每個油箱壁支承于旋翼航空器結構的非金屬油箱,必須承受下列試驗:
(1)至少為13.7千帕(2磅/英寸2)的壓力試驗,本項試驗可以在油箱上結合本條(c)款(2)項規定單獨進行;
(2)壓力試驗。該試驗將油箱安裝在旋翼航空器結構上並施加試驗壓力等於油箱滿油時承受最大極限加速度或者應急負加速度所産生的載荷。但是,在不承受加速度載荷的表面上其壓力值不必超過13.7千帕(2磅/英寸2)。
(d)每個具有大的無支承或者無加強平面的油箱,或者可能因損壞或者變形引起滲漏的油箱,必須經受下列試驗或者等效試驗:
(1)必須用完整的油箱連同其支承件做振動試驗,試驗時的固定方式應模擬實際安裝情況。
(2)油箱組件必須裝有2/3油箱容量的合適試驗液,並以不小于0.8毫米(1/32英寸)的振幅(除非證實可用其他振幅)振動25小時。
(3)振動試驗頻率必須按照下列規定:
(ⅰ)在發動機或者旋翼系統正常工作轉速範圍內,如果沒有任何轉速引起的振動頻率是臨界的,則振動試驗頻率(以每分鐘振動迴圈次數計算)對於活塞發動機的旋翼航空器必須為有動力時發動機最大和最小轉速(轉/分)的平均值;對於渦輪發動機的旋翼航空器必須為2000周/分。但採用一個根據更合理計算得出的頻率值除外。
(ⅱ)如果在發動機或者旋翼系統正常運轉轉速範圍內,由轉速引起的振動頻率中只有一個臨界頻率,則必須以此頻率作為試驗頻率。
(ⅲ)如果在發動機正常工作轉速範圍內,由轉速引起的振動頻率中有多個臨界頻率,則必須以其中最嚴重的作為試驗頻率。
(4)在本條(d)款(3)項(ⅱ)目和(ⅲ)目的情況下,必須調整試驗時間,使達到的振動迴圈數與按照本條(d)款(3)項(ⅰ)目規定的頻率在25小時內完成的振動迴圈數相同。
(5)試驗時,必須以每分鐘16~20個整迴圈的速率繞最臨界的軸搖晃油箱,搖晃角度為水準面上下各15°(共30°),歷時25小時。如果分別繞不同軸的運動都是臨界的,則油箱必須繞每根臨界軸搖晃12.5小時。
第27.967條 燃油箱安裝
(a)每個燃油箱的支承必須使油箱載荷不集中作用在無支承的油箱表面。此外,還必須符合下列規定:
(1)如有必要,必須在油箱與其支承件之間設置隔墊,以防擦傷油箱。
(2)隔墊必須不吸收燃油或者經處理後不吸收燃油。
(3)如果使用軟油箱,則軟油箱的支承必須使其不必承受油液載荷;
(4)每個油箱艙內表面必須光滑,而且不具有磨損軟油箱的突出物,除非滿足下列要求之一:
(ⅰ)在突出物處,具有保護軟油箱的措施;
(ⅱ)軟油箱本身構造具有這種保護作用。
(b)貼近燃油箱表面的任何空間必須充分地通大氣,以防止由於輕微滲漏形成油或者油氣聚積。如果油箱安裝在密封的油箱艙內,可以僅用排漏孔通大氣,但排漏孔的尺寸必須足以防止阻塞和因飛行高度變化而引起的過壓。如果安裝軟油箱,則軟油箱和油箱艙之間空間的通氣佈置,在任何預期飛行條件下,必須使油箱艙與油箱通氣壓力保持恰當的關係。
(c)每個燃油箱的位置必須滿足本規定第27.1185條(a)款和(c)款的要求。
(d)緊靠發動機艙主通風口處的旋翼航空器蒙皮,不得作為整體油箱的箱壁。
第27.969條 燃油箱的膨脹空間
每個燃油箱或者有互連通氣系統的每組燃油箱都必須具有不小于2%油箱容積的膨脹空間,必須使旋翼航空器處於正常地面姿態時,不可能由於疏忽而使所加燃油佔用膨脹空間。
第27.971條 燃油箱沉澱槽
(a)每個燃油箱都必須有可放油的沉澱槽,當旋翼航空器處於使用中預期的任何地面姿態時,其有效容量為0.25%的油箱容量或者0.24升(1/16美加侖),兩者中取較大值。除非滿足下列條件:
(1)燃油系統具有易於在飛行前可用於放油的沉積盤或者腔,且其最小容量是每75.7升(20美加侖)燃油容量為29.6毫升(1盎司);
(2)每個燃油箱放油口位置的確定,應當使得在旋翼航空器處於使用中預期的任何地面姿態時,水能從燃油箱任何部分排放至沉積盤或者腔。
(b)本條要求的每個沉澱槽、沉積盤及沉積腔的放油嘴必須符合本規定第27.999條(b)款放油嘴的要求。
第27.973條 燃油箱加油口接頭
(a)在正常工作期間,每個燃油箱加油口接頭必須能防止燃油流入油箱以外的旋翼航空器的任何部分,並且在本規定第27.952條(c)款所述的可生存撞擊中必須是抗墜撞的。此外,還需符合下列規定:
(1)每個加油口必須按照本規定第27.1557條(c)款(1)項規定作標記;
(2)每個能明顯積存燃油的凹型加油口接頭,必須有放油嘴,且排放應能避開旋翼航空器各個部分;
(3)每個加油口蓋必須有一個燃油密封件,並能在正常運作和可生存撞擊中預期出現的燃油壓力下正常工作。
(b)當每個加油口蓋未能完全鎖住或者未能安置在加油口接頭上時,加油口蓋或者加油口蓋罩必須能報警。
第27.975條 燃油箱通氣
(a)每個燃油箱必須從膨脹空間的頂部通氣,以便在任何正常飛行情況下都能有效地通氣。每個通氣口的佈置必須使其被臟物或者冰堵塞的概率最小。
(b)通氣系統的設計必須使旋翼航空器在著陸、地面運作或者可生存撞擊期間出現翻轉時,將通過通氣口溢出流到點火源的燃油減至最小。
第27.977條 燃油箱出油口
(a)燃油箱出油口或者增壓泵都必須裝有符合下列規定的燃油濾網:
(1)對於活塞發動機的旋翼航空器,該濾網為3~6目/釐米(8~16目/英寸);
(2)對於渦輪發動機的旋翼航空器,該濾網能阻止可能造成限流或者損壞燃油系統任何部件的雜物通過。
(b)每個燃油箱出油口濾網的流通面積,必須至少是出油口管路截面積的5倍。
(c)每個濾網的直徑,必須至少等於燃油箱出油口直徑。
(d)每個指形濾網必須便於檢查和清洗。
第四節 燃油系統部件
第27.991條 燃油泵
對本規定第27.955條的符合性不得由於下列部件的失效而受到危害:
(a)任一燃油泵,但作為已取型號合格證的發動機的部件被批准和安裝的燃油泵除外;
(b)燃油泵工作所需的任何部件,但對於發動機驅動的燃油泵,由該泵供油的發動機除外。
第27.993條 燃油系統導管和接頭
(a)每根燃油導管的安裝和支承,必須能防止過度的振動,並能承受燃油壓力及加速飛行所引起的載荷。
(b)連接在可能有相對運動的旋翼航空器部件之間的每根燃油導管,必須用柔性連接。
(c)燃油管路中可能承受壓力和軸向載荷的每一柔性連接,必須使用軟管組件。
(d)軟管必須經過批准。
(e)高溫下可能受到不利影響的軟管,不得用於在運作中或者發動機停車後溫度過高的部位。
第27.995條 燃油閥
(a)必須有可靠的快速動作的燃油閥,以便能單獨地切斷供給各發動機的燃油。
(b)該閥的操縱器必須在有關機組人員容易達到的範圍內。
(c)對從一個以上油源供油的燃油系統,應有從每個油源單獨供油的措施。
(d)切斷閥不得裝在防火牆的發動機一側。
第27.997條 燃油濾網或者燃油濾
在燃油箱出油口與第一個易受燃油污染物影響的燃油系統部件(包括但不限于燃油計量裝置或者發動機正排量泵,取距燃油箱出油口較近者)進口之間,必須設置滿足下列要求的燃油濾網或者燃油濾:
(a)便於放油和清洗,且必須有易於拆卸的網件或者濾芯。
(b)具有沉澱槽和放油嘴。如果濾網或者油濾易於拆卸進行放油,則不需設置放油嘴。
(c)安裝時,其重量不由相連導管或者濾網(或者油濾)本身的入口(或者出口)接頭來承受,除非導管或者接頭在所有載荷情況下均具有足夠的強度余量。
(d)具有從燃油中清除任何污染的措施,這種污染會危及旋翼航空器或者發動機燃油系統正常工作所需的通過旋翼航空器或者發動機燃油系統部件的燃油流量。
第27.999條 燃油系統放油嘴
(a)在每個燃油系統的最低點,必須至少有一個易於接近的放油嘴,當旋翼航空器處於使用中預期的任何地面姿態時,可完全放出系統中的燃油。
(b)本條(a)款要求的每個放油嘴必須滿足下列要求:
(1)使排放油避開旋翼航空器各個部分。
(2)有手動或者自動的機構,能確實地鎖定在關閉位置。
(3)具有滿足下列要求的放油閥:
(ⅰ)易於接近並易於打開和關閉;
(ⅱ)閥門位置或者其防護措施,能在起落架收起著陸時防止燃油噴濺。
第五節 滑油系統
第27.1011條 發動機:通用要求
(a)每台發動機必須有獨立的滑油系統,在不超過安全連續運轉溫度值的情況下,能向發動機供給適量的滑油。
(b)每個系統的可用滑油量,不得小于旋翼航空器在臨界運作條件下的續航時間與同樣條件下發動機最大允許滑油消耗量的乘積,加上保證充分迴圈和冷卻的適當余量。對於活塞發動機安裝,可以用1﹕40的可用滑油量與可用燃油量的容積比來代替續航時間和滑油消耗量的理論分析。
(c)對於每台發動機的滑油冷卻裝置,必須能保證發動機滑油進口溫度等於或者低於最大規定值,這必須用飛行試驗來表明。
第27.1013條 滑油箱
滑油箱必須按照下列要求設計和安裝:
(a)它能承受在工作中可能預期出現的各種振動、慣性、流體及結構載荷而不損壞。
(b)[備用]。
(c)用於活塞發動機的每個滑油箱,必須具有不小于10%油箱容積或者2升(0.5美加侖)的膨脹空間(取大值)。用於渦輪發動機的每個滑油箱,必須具有不小于10%油箱容積的膨脹空間。
(d)當旋翼航空器處於正常地面姿態時,不可能由於疏忽而使所加滑油佔用油箱的膨脹空間。
(e)保證充分通氣。
(f)在加油口蓋打開時,必須具有防止滑油流入滑油箱艙內的措施。
第27.1015條 滑油箱試驗
滑油箱必須按照下列要求設計和安裝:它能承受34.5千帕(5磅/英寸2)的內部壓力而不滲漏。而對於渦輪發動機的增壓滑油箱必須按照下列要求設計和安裝:它能承受34.5千帕(5磅/英寸2)的內部壓力再加上油箱最大工作壓力而不滲漏。
第27.1017條 滑油導管和接頭
(a)每根滑油導管的固定必須能防止過大的振動。
(b)連接在可能有相對運動的旋翼航空器部件之間的每根滑油導管,必須用柔性連接。
(c)軟管必須經過批准。
(d)滑油導管的內徑必須不小于發動機進油口或者出油口的內徑,在連接中不得採用嵌接導管。
第27.1019條 滑油濾網或者滑油濾
(a)每台渦輪發動機裝置,必須包括能過濾發動機全部滑油並滿足下列要求的滑油濾網或滑油濾:
(1)具有旁路的滑油濾網或者滑油濾,其構造和安裝必須使得在該濾網或者油濾完全堵塞的情況下,滑油仍能以正常的速率流經系統的其餘部分;
(2)滑油濾網或者滑油濾必須具有足夠的濾通能力(根據發動機的使用限制),以便在滑油臟污程度(與污粒大小和密度有關)超過《航空發動機適航規定》(CCAR–33)對發動機所規定的值時,保證發動機滑油系統功能不受損害;
(3)滑油濾網或者滑油濾(除非將其安裝在滑油箱出口處)必須具有措施,在臟污程度影響本條(a)款(2)項規定的濾通能力之前作出指示;
(4)滑油濾網或者滑油濾旁路的構造和安裝,必須通過其適當設置使聚積的污物逸出最少,以確保聚積的污物不致進入旁通油路;
(5)不具備旁路的滑油濾網或者滑油濾(裝在滑油箱出口處除外),必須具有將滑油濾網或者滑油濾與本規定第27.1305條(r)款中要求的警告系統相連的措施。
(b)使用活塞發動機的動力裝置安裝中,滑油濾網或者滑油濾的構造和安裝,必須使得在該濾網或者油濾濾芯完全堵塞的情況下,滑油仍能以正常的速率流經系統的其餘部分。
第27.1021條 滑油系統放油嘴
必須具有能使滑油系統安全排放的一個(或者幾個)放油嘴。每個放油嘴必須滿足下列要求:
(a)是可達的;
(b)有手動或者自動的機構,能將其確實地鎖定在關閉位置。
第27.1027條 傳動裝置和減速器:通用要求
(a)要求持續潤滑的旋翼傳動系統部件的滑油系統,必須完全獨立於發動機滑油系統,以確保在自轉期間的潤滑。
(b)傳動裝置和減速器的壓力潤滑系統必須符合本規定第27.1013條(除(c)款外)、第27.1015條、第27.1017條、第27.1021條和第27.1337條(d)款的發動機滑油系統的要求。
(c)每一壓力潤滑系統必須具有一個能過濾全部潤滑油的滑油濾網或者滑油濾,且必須滿足下列要求:
(1)其設計能從潤滑油中清除可能損壞傳動裝置和傳動系統部件或者阻礙潤滑油流動到危險程度的任何污染;
(2)應裝有指示器以指示當本條(c)款(3)項要求的旁路在打開時(或者在此之前)滑油濾或者滑油濾網上污染的聚積情況;
(3)配有旁路,其構造和安裝要按照下列要求:
(ⅰ)在該濾網或者油濾完全堵塞的情況下,潤滑油仍能以正常的速率流經系統的其餘部分;
(ⅱ)通過旁路的適當佈置,使聚積的污物溢出最少,以確保聚積的污物不致進入旁通油路。
(d)對旋翼傳動系統及其部件提供潤滑的每一滑油箱或者集油槽出口,必須安裝濾網以防止可能阻礙潤滑油從出口流向本條(c)款規定的油濾的任何物體進入潤滑系統。本條(c)款規定不適用於安裝在滑油箱或者集油槽出油口的濾網。
(e)旋翼傳動系統減速器的濺油潤滑系統必須符合本規定第27.1021條和第27.1337條(d)款的要求。
第六節 冷 卻
第27.1041條 通用要求
(a)每個動力裝置冷卻系統在申請合格審定的地面或者水面以及空中的臨界運作條件下,和在發動機正常停車後,必須能使動力裝置部件的溫度,均保持在對這些部件所制定的限制範圍以內。所涉及的動力裝置部件包括但不限于發動機、旋翼傳動系統部件、輔助動力裝置以及這些部件所使用的冷卻或者潤滑液。
(b)必須按照本條所規定的條件,用試驗表明滿足本條(a)款的要求。
第27.1043條 冷卻試驗
(a)通用要求
對於本規定第27.1041條(b)款所規定的試驗,採用下列規定:
(1)如果在偏離本條(b)款所規定的最高外界大氣溫度的條件下進行試驗,則必須按照本條(c)款和(d)款修正所記錄的動力裝置溫度,如果採用更合理的修正方法則除外;
(2)根據本條(a)款(1)項所確定的修正溫度,不得超過制定的限制;
(3)對於活塞發動機,冷卻試驗所用的燃油必須是經批准用於該發動機的最低燃油品級,而混合比必須是進行冷卻試驗的飛行階段通常使用的調定值;
(4)試驗程式必須按照本規定第27.1045條的規定。
(b)最高外界大氣溫度
相應于海平麵條件的最高外界大氣溫度必須至少規定為37.8℃(100℉)。在海平面以上,假設溫度遞減率為:高度每增加1000米,溫度下降6.5℃(1000英尺,溫度下降3.6℉),一直降到
–56.5℃(–69.7℉)為止,在此高度以上認為溫度是恒定的–56.5℃(–69.7℉)。但是,對於冬季使用的裝置,申請人可以選用低於37.8℃(100℉)的相應于海平麵條件的最高外界大氣溫度。
(c)修正系數(氣缸筒不適用)
對於規定了溫度限制的發動機所用的液體和動力裝置部件(氣缸筒除外)的溫度必須進行修正。修正方法為:此溫度加上最高外界大氣溫度與外界空氣溫度(冷卻試驗中所記錄的部件或者液體最高溫度首次出現時的外界空氣溫度)的差值,如果採用更合理的修正方法則除外。
(d)氣缸筒溫度的修正系數
氣缸筒溫度必須進行修正。修正方法為:此溫度加上最高外界大氣溫度與外界空氣溫度(冷卻試驗中記錄的氣缸筒最高溫度首次出現時的外界空氣溫度)差值的70%。
第27.1045條 冷卻試驗程式
(a)通用要求
對於每個飛行階段,旋翼航空器冷卻試驗必須在下列條件下進行:
(1)對於冷卻最苛刻的形態;
(2)對於冷卻最苛刻的條件。
(b)溫度的穩定性
對於冷卻試驗,當溫度變化率小于每分鐘1.1℃(2℉)時,則認為溫度已達到“穩定”。部件和發動機所用液體溫度穩定規則適用於:
(1)每架旋翼航空器和每個飛行階段,必須採用下列規定:
(ⅰ)在進入擬試驗的每一飛行階段前,溫度必須達到穩定;
(ⅱ)如果在進入狀態下通常不能達到穩定,對此情況,在擬試驗的起飛階段前,必須通過整個進入狀態下的運轉,使得在進入時溫度達到其自然水準。
(2)在起飛階段的每架直升機,在以起飛功率爬升之前,必須懸停一個階段,使溫度達到穩定。
(c)試驗持續時間
對於每一飛行階段的冷卻試驗必須連續進行,直到下列任一種狀態為止:
(1)溫度達到穩定或者相對於試驗條件所記錄的最高溫度出現以後5分鐘;
(2)飛行階段結束;
(3)達到使用限制值。
第七節 進氣系統
第27.1091條 進氣
(a)發動機的進氣系統在申請合格審定的各種運作和機動飛行條件下,必須供給發動機所需的空氣量。
(b)可能有回火火焰出現的冷空氣進氣系統,其進氣口必須開在整流罩外面。
(c)如果燃油能在任何進氣系統中積聚,則該系統必須有放油嘴,放出的燃油應滿足下列要求:
(1)避開旋翼航空器;
(2)在排氣火焰流場之外。
(d)對於裝有渦輪發動機的旋翼航空器,必須滿足下列要求:
(1)必須有措施防止由可燃液體系統的放油嘴、通氣口或者其他部件漏出或者溢出的危險量燃油進入發動機的進氣系統;
(2)進氣道的位置或者防護必須使其在起飛、著陸和滑行過程中吸入外來物的程度減至最小。
第27.1093條 進氣系統的防冰
(a)活塞發動機
活塞發動機的進氣系統必須有防冰和除冰措施。除非用其他方法來滿足上述要求,否則必須表明,在溫度為–1℃(30℉)的無可見水汽的空氣中,發動機以75%的最大連續功率運轉時,應符合下列規定:
(1)裝有普通文氏管式汽化器的海平面發動機的旋翼航空器,有能提供50℃(90℉)溫升的預熱器。
(2)裝有有助防冰的汽化器的海平面發動機的旋翼航空器,有一個掩蔽的備用氣源,該備用氣源進入空氣的預熱,不低於氣缸下游發動機冷空氣所提供的預熱。
(3)裝有普通文氏管式汽化器的高空發動機的旋翼航空器,有能提供67℃(120℉)溫升的預熱器。
(4)裝有有助防冰汽化器的高空發動機的旋翼航空器,有能提供下列溫升之一的預熱器:
(ⅰ)56℃(100℉);
(ⅱ)如果用液體防冰系統,至少溫升應達22℃(40℉)。
(b)渦輪發動機
(1)必須表明,每台渦輪發動機及其進氣系統能在發動機整個飛行功率範圍(包括慢車)內工作。且:
(ⅰ)在《運輸類旋翼航空器適航規定》(CCAR–29)附錄C規定的結冰條件下,發動機或者進氣系統部件上沒有不利於發動機運轉或者引起功率嚴重損失的冰聚積;
(ⅱ)在規定的旋翼航空器限制範圍內,在降雪和揚雪時沒有不利於發動機運轉的影響。
(2)渦輪發動機必須在溫度–9~–1℃(15~30℉)、液態水含量不小于0.3克/米3、水滴平均有效直徑不小于20微米的大氣條件下,進行地面慢車運轉30分鐘,此時可供發動機防冰用的引氣處於其臨界狀態而無不利影響。隨後發動機以起飛功率(推力)作短暫運轉。在上述30分鐘慢車運轉期間,發動機可以按局方可接受的方式間歇地加大轉速到中等功率或者推力。
(c)增壓式活塞發動機
裝有增壓器(對進入汽化器之前的空氣進行增壓)的活塞發動機,在判斷符合本條(a)款的規定時,在任何高度上均可利用由此增壓所産生的空氣溫升,只要所利用的溫升是在有關的高度和運轉條件下因增壓而自動獲得的。
第八節 排氣系統
第27.1121條 通用要求
對於排氣系統,必須滿足下列要求:
(a)必須有考慮歧管和管道熱膨脹的措施;
(b)必須有防止局部過熱的措施;
(c)排氣管排出的廢氣必須避開發動機進氣道、燃油系統部件和放油嘴;
(d)表面溫度足以點燃可燃液體或者蒸氣的每個排氣系統零件,其安置或者遮罩必須使得任何輸送可燃液體或者蒸氣系統的泄漏,不會由於液體或者蒸氣接觸到排氣系統(包括排氣系統的遮罩件)的任何零件引起著火;
(e)不得在夜間由於排出的廢氣産生的眩光而影響駕駛員視覺;
(f)如果渦輪發動機的排氣系統中有明顯的凹陷區,為防止旋翼航空器在發動機起動失敗後,燃油聚集在該處,則必須有在任何正常地面姿態和飛行姿態排放聚集的燃油避開旋翼航空器的措施;
(g)排氣熱交換器必須有防止任何內部熱交換器損壞後使排氣口堵塞的措施。
第27.1123條 排氣管
(a)排氣管必須是耐熱和耐腐蝕的,並且必須有措施防止由於工作溫度引起的膨脹而損壞。
(b)排氣管的支承,必須能承受工作中會遇到的任何振動和慣性載荷。
(c)連接在可能有相對運動的部件之間的排氣管,必須採用柔性連接。
第九節 動力裝置的操縱機構和附件
第27.1141條 動力裝置的操縱機構:通用要求
(a)動力裝置操縱機構的位置和排列,必須符合本規定第27.777條的規定,並按照第27.1555條的要求作標記。
(b)動力裝置操縱機構的每個柔性件必須經過批准。
(c)操縱機構必須能保持在任何給定的位置,而不會出現下列情況:
(1)需要經常注意這些機構;
(2)由於操縱載荷或者振動而有滑移的趨勢。
(d)安全運作所要求的動力裝置閥門操縱機構,必須滿足下列要求:
(1)對於手動閥門,在打開和關閉位置要有確實的止動器;對於燃油閥門,在上述位置要有適當的指示標誌。
(2)對於動力作動閥門,應有向飛行機組指示下列情況之一的手段:
(ⅰ)閥門在全開或者全關位置;
(ⅱ)閥門在全開和全關位置之間移動。
(e)對於裝渦輪發動機的旋翼航空器,任何動力裝置操縱系統中單個的失效或者故障,或者其可能的組合都不得造成動力裝置為安全所必需的任何功能的失效。
第27.1143條 發動機的操縱機構
(a)每台發動機必須有單獨的功率操縱機構。
(b)功率操縱機構的組合和佈置必須滿足下列要求:
(1)單獨操縱每台發動機;
(2)同時操縱所有發動機。
(c)每個功率操縱機構必須對其操縱的發動機進行確實和及時反應的操縱。
(d)如果功率操縱機構具有切斷燃油的特性,則該操縱機構必須有措施防止其誤動到斷油位置,該措施必須滿足下列要求:
(1)在慢車位置有確實的鎖或者止動器;
(2)要用另外的明顯動作才能將操縱機構移到斷油位置。
(e)對於申請審定30秒一台發動機不工作(OEI)功率值的旋翼航空器,必須具有自動啟動和操縱30秒一台發動機不工作(OEI)功率並防止任一發動機超過與旋翼航空器經批准的30秒一台發動機不工作(OEI)功率值有關的發動機安裝限制的措施。
第27.1145條 點火開關
(a)必須有快速切斷所有點火電路的措施,其方法可將點火開關構成組列或者使用一個總點火控制器。
(b)每組點火開關和每個總點火控制器都必須有防止被誤動的措施,但不要求連續點火的渦輪發動機的點火開關除外。
第27.1147條 混合比操縱機構
如果有混合比操縱機構,每台發動機必須有一單獨的混合比操縱機構。這些機構的排列必須滿足下列要求:
(a)能單獨操縱每台發動機;
(b)能同時操縱所有發動機。
第27.1151條 旋翼剎車操縱機構
(a)在飛行中必須不可能因誤動而使旋翼剎車。
(b)如果旋翼剎車機構在起飛前沒有完全鬆開,則必須有警告機組的措施。
第27.1163條 動力裝置附件
(a)裝在發動機上的每一附件均應符合下列規定:
(1)必須經過批准允許其安裝在有關的發動機上;
(2)必須利用發動機上的設施進行安裝;
(3)必須是密封的,以防止污染發動機滑油系統和附件系統。
(b)除非採用其他措施,否則對位於傳動裝置和旋翼傳動系統的任何部件上的附件傳動裝置必須採用扭矩限制措施,以防止因過大的附件載荷導致這些部件損壞。
第十節 動力裝置的防火
第27.1183條 導管、接頭和組件
(a)除本條(b)款規定者外,在易受發動機著火影響的區域內輸送可燃液體的每一導管、接頭和其他組件,均必須是耐火的,但屬於發動機一部分並固定在發動機上的可燃液體箱和支架必須是防火的或者用防火罩防護,如果任何非防火零件被火燒壞後不會引起可燃液體滲漏或者濺出則除外。上述組件必須加防護罩或者安置得能防止點燃漏出的可燃液體。活塞發動機上容量小于23.7升(25夸脫)的整體滑油池不必是防火的,也不必用防火罩防護。
(b)本條(a)款不適用於下列情況:
(1)已批准作為型號審定合格的發動機一部分的導管、接頭和組件;
(2)破損後不會引起或者增加著火危險的通風管和排放管及其接頭。
(c)可燃液體的放油管和通氣管的排放必須避開進氣系統的進氣口。
第27.1185條 可燃液體
(a)每個燃油箱必須用防火牆或者防火罩與發動機隔開。
(b)除燃油箱外,作為裝有可燃液體或者氣體系統一部分的油箱或者容器都必須用防火牆或者防火罩與發動機隔開,除非系統的設計、油箱及其支架所採用的材料、切斷裝置以及所有的連接件、導管和控制裝置所提供的安全度,與油箱或者容器同發動機隔開的安全度相同。
(c)每個油箱與每一防火牆或者用於隔開油箱的防火罩之間,必須有不小于13毫米(1/2英寸)的間隙。除非採用等效的措施來防止熱量從發動機艙傳給可燃液體。
(d)位於可能滲漏的可燃液體系統組件近旁的吸收性材料,必須加以包覆或者處理,以防吸收危險量的液體。
第27.1187條 通風和排放
包含動力裝置任何部件的每一個艙都必須有通風和排放可燃液體措施。排放措施必須滿足下列要求:
(a)當需要排放時,在一般預期情況下排放是有效的;
(b)合理佈置,確保排放出的液體不會增加著火危險。
第27.1189條 切斷措施
(a)向發動機艙輸送可燃液體的每根導管必須有切斷措施,但下列情況除外:
(1)與發動機組成一體的導管、接頭和組件;
(2)滑油系統的所有組件(包括滑油箱)都是防火的,或者位於不易受發動機著火影響的區域;
(3)氣缸容量小于8.2升(500立方英寸)的活塞發動機的滑油系統管路。
(b)必須有措施防止切斷裝置被誤動,並能使機組在飛行中重新打開已關閉的切斷裝置。
(c)每個切斷閥及其操縱機構的設計、佈置和保護,必須使其在由發動機著火引起的任何可能出現的情況下正常工作。
第27.1191條 防火牆
(a)每台發動機,包括渦輪發動機的燃燒室、渦輪和尾噴管部分,均必須用防火牆、防火罩或者其他等效設施與乘員艙、機體結構、操縱機構、旋翼機構以及符合下述條件的其他部件隔離:
(1)對於可控著陸必不可少;
(2)未按本規定第27.861條加以防護。
(b)每台輔助動力裝置和燃燒加熱器以及在飛行中需要使用的其他燃燒設備,均必須用防火牆、防火罩或者等效設施與旋翼航空器的其他部分隔離。
(c)為了滿足本條(a)款和(b)款的要求,必須考慮在正常飛行和自轉時火焰受到氣流影響可能經過的途徑。
(d)每個防火牆或者防火罩的構造必須能防止危險量的空氣、液體或者火焰從任何發動機艙進入旋翼航空器的其他部分。
(e)在防火牆或者防火罩上的每一開孔都必須用緊配合的防火套圈、襯套或者防火牆接頭進行封嚴。
(f)防火牆或者防火罩必須是防火的和防腐蝕的。
第27.1193條 整流罩和發動機艙蒙皮
(a)整流罩和發動機艙蒙皮的構造和支承,必須使其能承受在運作中可能遇到的振動、慣性和空氣載荷。
(b)在正常地面姿態和飛行姿態時,整流罩和發動機艙的每個部分都必須有迅速而徹底地排放措施。
(c)不得把油排放到可能引起失火的地方。
(d)每個整流罩和發動機艙蒙皮必須至少是耐火的。
(e)由於靠近排氣系統零件或者受排氣衝擊而經受高溫的整流罩或者發動機艙蒙皮的各部分必須是防火的。
(f)必須提供措施,以便在出現正常固定裝置的結構或者機械失效時,能保持每個可打開的或者易於拆裝的壁板、整流罩、發動機或者旋翼傳動系統蒙皮,防止對旋翼或者關鍵的操縱部件造成危險的損壞,除非這樣的失效是極不可能的。
第27.1194條 其他表面
除不承受來自發動機艙噴射出的高溫氣體、火焰或者火花的尾段表面外,發動機艙後部和附近的所有表面必須至少是耐火的。
第27.1195條 火警探測系統
每架裝渦輪發動機的旋翼航空器,必須有經批准的、快速動作的火警探測器,其數量和位置要保證飛行時對駕駛員在駕駛艙中不易觀察到的發動機艙失火部位能夠迅速地進行火警探測。
F章 設 備
第一節 一般規定
第27.1301條 功能和安裝
所安裝的每項設備必須符合下列要求:
(a)其種類和設計與預定功能相適應;
(b)用標牌標明其名稱、功能或者使用限制,或者這些要素的適用的組合;
(c)按照對該設備規定的限制進行安裝;
(d)在安裝後功能正常。
第27.1303條 飛行和導航儀錶
所需的飛行和導航儀錶規定如下:
(a)一個空速表;
(b)一個高度表;
(c)一個磁航向指示器。
第27.1305條 動力裝置儀錶
所需的動力裝置儀錶規定如下:
(a)具有能使溫升超過33℃(60℉)預熱器的每台發動機,應有一個汽化器空氣溫度表。
(b)氣缸頭溫度表,適用於:
(1)每台氣冷式發動機;
(2)每架具有冷卻風門的旋翼航空器;
(3)除最臨界冷卻飛行狀態外的任何狀態,表明符合本規定第27.1043條要求的每架旋翼航空器。
(c)每台由泵供油的發動機一個燃油壓力錶。
(d)每個燃油箱一個燃油油量表。
(e)每台高空發動機有一種指示其進氣壓力的方法。
(f)滑油溫度警告裝置,當每個具有滑油系統的主減速器(包括旋翼調相所必需的減速器)的滑油溫度超出安全值時,便發出警告信號,而主減滑油系統獨立於發動機滑油系統。
(g)滑油壓力警告裝置,當每個具有滑油系統的主減速器(包括旋翼調相所必需的減速器)的滑油壓力低於安全值時,便發出警告信號,而主減滑油系統獨立於發動機滑油系統。
(h)每台發動機一個滑油壓力錶。
(i)每個滑油箱一個滑油油量指示器。
(j)每台發動機一個滑油溫度表。
(k)每台發動機有一種指示其轉速的方法,且至少有一個轉速表用於指示下列轉速之一:
(1)單個主旋翼轉速;
(2)多個主旋翼的公共轉速,這些主旋翼的轉速相互之間不會有明顯的差別;
(3)每個主旋翼的轉速,該旋翼的轉速相對於其他主旋翼可能有明顯的差別。
(l)向發動機供油的每一燃油箱應有低燃油量警告裝置。該裝置必須滿足下列要求:
(1)當油箱剩有近10分鐘的可用燃油時,即向飛行機組發出警告信號;
(2)獨立於正常的燃油油量指示系統。
(m)按照本規定第27.955條要求安裝的任一燃油泵失效時,應有向飛行機組指示該失效的裝置。
(n)每台渦輪發動機有一種指示其燃氣溫度的方法。
(o)如果渦輪發動機的扭矩限制是按照本規定第27.1521條(e)款確定的,那麼應設置能使駕駛員判定每台渦輪發動機扭矩的裝置。
(p)每台渦輪發動機一個指示動力裝置防冰系統功能的指示器。
(q)對本規定第27.997條要求的燃油濾指示器,在油濾的臟污達到申請人按照第27.955條確定的程度時,即指示燃油濾出現臟污。
(r)本規定第27.1019條要求的滑油濾網或者滑油濾,如果沒有旁路,則每台渦輪發動機應有一個警告裝置,在濾網或者油濾的臟污程度影響第27.1019條(a)款(2)項規定的濾通能力之前向駕駛員警告出現臟污。
(s)防止燃油系統部件被冰堵塞的任何可選擇或者可控的加溫器,應有一個指示其功能是否正常的指示器。
(t)對於申請30秒/2分鐘一台發動機不工作(OEI)額定功率的旋翼航空器,當發動機處於30秒和2分鐘一台發動機不工作(OEI)功率水準時、當該狀態開始時以及當時間間隔到期時,必須有措施警告駕駛員。
(u)對於使用30秒/2分鐘一台發動機不工作(OEI)功率的每台渦輪發動機,必須有供地面人員使用的裝置或者系統,其:
(1)能自動記錄30秒和2分鐘一台發動機不工作(OEI)功率的每次使用情況和持續時間;
(2)能檢索記錄的數據;
(3)僅能由地面維修人員復位;
(4)有措施證實該系統或者裝置工作正常。
(v)當用本規定第27.1337條(e)款要求的金屬屑磁性探測器探測到鐵磁粒子時,應有警告或者戒備裝置向飛行機組發出信號。
第27.1307條 其他設備
所需的其他設備規定如下:
(a)每名乘員一個經批准的座椅;
(b)每名乘員一副經批准的安全帶;
(c)一個總開關;
(d)旋翼航空器運作所需的足夠電源;
(e)電氣保護裝置。
第27.1309條 設備、系統及安裝
凡航空器適航標準對其功能有要求的設備、系統及安裝,其設計及安裝必須保證在各種可預期的運作條件下能完成預定功能。對於適航標準未對其失效作專門規定的任何設備或者系統,以下要求也適用:
(a)必須單獨分析每一項設備、系統及安裝的設計,並與其他系統及安裝聯繫起來進行分析,以確定和識別會影響旋翼航空器能力或者機組在所有運作條件下履行職責的能力的任何失效。
(b)每一項設備、系統及安裝,其設計和安裝必須符合:
(1)發生任何災難性的失效狀態的概率是極不可能的;
(2)發生任何較大的失效狀態的概率是微小的;
(3)對於任何其他介於較大和災難性之間的失效狀態,發生失效狀態的概率必須與其後果成反比。
(c)當系統存在不安全工作狀態時,必須提供能夠提醒機組有關失效的方法,並能使機組採取糾正動作。系統、控制器件以及相關的監控和機組告警裝置的設計必須能夠將可能造成額外危險的機組差錯降至最低。
(d)必須通過分析,必要時通過地面、飛行或者模擬器試驗來表明對本條款要求的符合性。這種分析必須考慮:
(1)可能的失效模式,包括故障和誤導性數據以及來自外界的輸入;
(2)多重失效和隱性失效的影響;
(3)飛行階段和運作條件對旋翼航空器和乘員的影響;
(4)機組告警提示和所需的糾正動作。
第27.1316條 電子電氣系統的閃電防護
(a)其功能失效會妨礙旋翼航空器繼續安全飛行和著陸的每一個電子電氣系統的設計和安裝,必須符合下列規定:
(1)當旋翼航空器暴露于閃電期間和暴露以後,其功能不會受到不利影響;
(2)當旋翼航空器暴露于閃電以後,系統及時地自動恢復其功能的正常運作。
(b)對於批准按儀錶飛行規則運作的旋翼航空器,其功能失效會降低旋翼航空器或者飛行機組應對不利運作條件能力的每一個電子電氣系統的設計和安裝,必須確保當旋翼航空器暴露于閃電環境以後,系統及時地恢復其功能的正常運作。
第27.1317條 高強輻射場(HIRF)保護
(a)其功能失效會妨礙旋翼航空器繼續安全飛行和著陸的每一個電子電氣系統的設計和安裝,必須符合下列規定:
(1)當旋翼航空器暴露于本規定附錄D所描述的HIRF環境Ⅰ期間和暴露以後,其功能不會受到不利影響;
(2)當旋翼航空器暴露于本規定附錄D所描述的HIRF環境Ⅰ以後,系統及時地自動恢復其功能的正常運作,除非系統的這種功能恢復與系統的其他運作或者功能要求相衝突;
(3)當旋翼航空器暴露于本規定附錄D所描述的HIRF環境Ⅱ期間和暴露以後,其系統不會受到不利影響;
(4)當旋翼航空器暴露于本規定附錄D所描述的HIRF環境Ⅲ期間和暴露以後,目視飛行規則下飛行所需的各個功能不會受到不利影響。
(b)其功能失效後會嚴重降低旋翼航空器或者飛行機組應對不利運作條件能力的電子電氣系統的設計和安裝,必須確保當提供這些功能的設備暴露于本規定附錄D所描述的設備HIRF測試水準1或者2時,系統不會受到不利影響。
(c)其功能失效後會降低旋翼航空器或者飛行機組應對不利運作條件能力的電子電氣系統的設計和安裝,必須確保當提供這些功能的設備暴露于本規定附錄D中描述的設備HIRF測試水準3時,系統不會受到不利影響。
第二節 儀錶:安裝
第27.1321條 佈局和可見度
(a)供任一駕駛員使用的每個飛行、導航和動力裝置儀錶必須便於該駕駛員觀察。
(b)對於多發旋翼航空器,使用同樣的動力裝置儀錶時,其位置的安排必須避免混淆每個儀錶所對應的發動機。
(c)儀錶板的振動不得破壞或者降低任何儀錶的判讀性和精度。
(d)如果裝有指出儀錶失靈的目視指示器,則該指示器必須在駕駛艙所有可能的照明條件下都有效。
第27.1322條 警告燈、戒備燈和提示燈
如果在駕駛艙內裝有警告燈、戒備燈或者提示燈,則除局方另行批准外,燈的顏色必須按照下列規定:
(a)紅色,用於警告燈(指示危險情況,可能要求立即採取糾正動作的指示燈);
(b)琥珀色,用於戒備燈(指示將可能需要採取糾正動作的指示燈);
(c)綠色,用於安全工作燈;
(d)任何其他顏色,包括白色,用於本條(a)款至(c)款未作規定的燈,該顏色要足以同本條(a)款至(c)款規定的顏色相區別,以避免可能的混淆。
第27.1323條 空速指示系統
(a)每個空速指示儀錶必須加以校準,在施加相應的總壓和靜壓時,以盡可能小的儀錶校準誤差指示真空速(海平面標準大氣下)。
(b)空速指示系統必須在前飛速度等於和大於37.04千米/小時(20節)的飛行中進行校準。
(c)在每一前飛速度超過爬升速度的80%時,在海平面標準大氣下,空速指示器必須指示真空速,其允許安裝誤差不得超過下列規定中的大者:
(1)校準空速的±3%;
(2)9.26千米/小時(5節)。
第27.1325條 靜壓系統
(a)每個帶大氣靜壓膜盒的儀錶,其靜壓孔在受到旋翼航空器的速度、窗口開閉、氣流變化和濕氣或者其他外來物影響下不得嚴重地影響儀錶的精度。
(b)每個靜壓孔的設計和位置必須使得當旋翼航空器遇到結冰條件時,靜壓系統內的空氣壓力和真實的外界大氣靜壓之間的相互關係不變。為了符合這個要求,可以採用防冰裝置或者備用靜壓源。如果接通備用靜壓系統的高度表讀數與接通主靜壓系統的高度表讀數差值大於15米(50英尺)時,則必須提供備用靜壓系統的修正卡。
(c)除本條(d)款規定的情況外,如果靜壓系統包括有主靜壓源和備用靜壓源,則靜壓源選擇裝置的設計必須滿足下列要求:
(1)選用任一靜壓源時,另一個靜壓源斷開;
(2)兩個靜壓源不能同時斷開。
(d)對於非增壓旋翼航空器,如果能用演示表明,在選用任一靜壓源時,靜壓系統的校準不會因另一靜壓源的通斷而變化,則本條(c)款(1)項的規定不適用。
第27.1327條 磁航向指示器
(a)除本條(b)款所規定外,必須滿足下列要求:
(1)每個磁航向指示器必須安裝成使其精度不受旋翼航空器振動或者磁場的嚴重影響;
(2)經校正後的偏差,平飛時在任何航向上均不得大於10°。
(b)如果安裝了在平飛時的任一航向上的偏差均不大於10°的穩定磁航向指示器或者陀螺航向指示器,則非穩定的磁航向指示器在使用電加溫風擋玻璃一類用電系統時的偏差可以大於10°,但對超過10°的非穩定磁航向指示器的偏差必須按照本規定第27.1547條(e)款的規定設置標牌。
第27.1329條 自動駕駛和飛行指引系統
本章中,自動駕駛和飛行指引系統可由自動駕駛儀、飛行指引儀,與增穩或者配平相互作用的部件組成。
(a)每個自動駕駛和飛行指引系統的設計必須能滿足下列要求:
(1)可由一個駕駛員超控旋翼航空器;
(2)提供可讓每個駕駛員斷開系統或者系統的任何故障部件的方法,以防其干擾駕駛員操縱旋翼航空器;
(3)提供向機組人員指示其當前工作模式的方法,將選擇器開關的位置作為一種指示措施是不可接受的。
(b)除非有自動同步裝置,否則每個系統必須有設施,向駕駛員及時指示作動裝置與受其驅動的操縱系統是否協調。
(c)系統的每個手動操縱器件必須是每個駕駛員易於接近的。
(d)自動駕駛和飛行指引系統的設計必須做到,在駕駛員可以調整的範圍內,在適於使用自動駕駛和飛行指引系統的任何飛行條件下或者系統失靈條件下(假設在合理的時間內開始進行糾正),均不會對旋翼航空器引起危險的載荷或者使飛行航跡産生危險的偏離。
(e)如果自動駕駛和飛行指引系統綜合來自輔助控制器的信號或者向其他設備提供信號,則必須有防止系統不正常動作的方法。
(f)如果自動駕駛系統能夠與機載導航設備交聯,則必須有措施向駕駛員指示當前的工作模式,將選擇器開關的位置作為一種指示措施是不可接受的。
第27.1337條 動力裝置儀錶
(a)儀錶和儀錶管路
(1)動力裝置儀錶的每根管路必須滿足本規定第27.961條和第27.993條的要求。
(2)每根裝有充壓可燃液體的管路必須符合下列規定:
(ⅰ)在壓力源處有限流孔或者其他安全裝置,以防管路破損時逸出過多的液體;
(ⅱ)管路的安裝和佈置要使液體的溢出不會造成危險。
(3)使用可燃液體的每個動力裝置儀錶,其安裝和佈置必須使液體的逸出不會造成危險。
(b)燃油油量表
必須裝有燃油油量表向飛行機組成員指示飛行中每個油箱內可用燃油油量。此外,還必須符合下列規定:
(1)每個燃油油量表必須經過校準,使得在平飛過程中當油箱內剩餘燃油量等於按照本規定第27.959條確定的不可用燃油量時,其讀數為“零”;
(2)當兩個或者兩個以上油箱靠重力供油系統緊密連通並且是通氣的,以及不可能分別由每個油箱供油時,則必須至少裝一個燃油油量表;
(3)每個用作燃油油量表的外露式目視油量計必須加以防護,以免損壞。
(c)燃油流量指示系統
如果裝有該系統,則每個測量部件必須具有在該部件發生故障而嚴重限制燃油流動時能供油的旁路裝置。
(d)滑油油量指示器必須有指示每個油箱內滑油油量的裝置:
(1)在地面上(包括向每個油箱加油時);
(2)在飛行中,如果裝有滑油傳輸系統或者備用滑油供油系統。
(e)使用鐵磁材料的旋翼傳動系統的傳動裝置和減速器必須裝有金屬屑探測器,用來指示因損壞或者過度磨損而産生的鐵磁顆粒的存在。每個金屬屑探測器必須:
(1)設計成能夠向本規定第27.1305條(v)款要求的裝置提供信號,並作為一種允許機組人員在飛行中檢查每一探測器電路和信號功能的手段。
(2)[備用]
第三節 電氣系統和設備
第27.1351條 通用要求
(a)電氣系統容量
電氣系統必須符合其預定的用途。此外,採用下列規定:
(1)電源及其傳輸電纜以及有關的控制和保護裝置必須能夠向安全運作所必不可少的每個負載電路以適當的電壓供給所需的電功率;
(2)必須用電氣負載分析或者電氣測量來表明符合本條(a)款(1)項的要求。在電氣負載分析或者電氣測量時要考慮用在該電氣系統的各種電氣負載可能的組合的持續時間。
(b)功能
每個電氣系統要符合下列要求:
(1)安裝後的每個電氣系統必須滿足下列要求:
(ⅰ)對系統本身及其工作方式和對旋翼航空器其他部分的影響均沒有危險;
(ⅱ)採取保護以免受燃油、滑油、水和其他有害物質的腐蝕及機械損傷。
(2)電源在單獨供電或者並聯供電時均必須功能正常。
(3)任何電源在其故障或者失效時,不得損害任何其餘電源向安全運作所必不可少的負載電路供電的能力。
(4)每個電源控制裝置必須能夠使每個電源獨立地工作。
(c)發電系統
如果電氣系統向安全運作所必需的負載電路供電,則必須至少有一台發電機。此外,應符合下列規定:
(1)每台發電機必須能夠輸出它的連續額定功率;
(2)發電機的電壓控制裝置必須能可靠地將每台發電機的輸出電壓調整在額定範圍之內;
(3)每台發電機必須有一個反流割斷器,其設計當反向電流足以損壞發電機時,能斷開該發電機與蓄電池及其他發電機的連接;
(4)每台發電機必須有一個過壓保護裝置,其設計和安裝當發電機出現過壓情況時,能防止對電氣系統或者由該電氣系統所供電的設備造成損壞。
(d)儀錶
必須有手段向相應的機組成員指示電源系統安全運作所必不可少的該系統的參量,此外:
(1)對於直流系統,可以使用能夠轉換到每台發電機饋線的電流錶;
(2)如果僅有一台發電機,該電流錶可以接在蓄電池的饋線中。
(e)外部電源
如果備有設施將外部電源接到旋翼航空器上,且該外部電源能與除用於發動機起動之外的其他設備相連接,則必須有措施確保反極性或者逆相序的外部電源不能向該旋翼航空器的電氣系統供電。
第27.1353條 能量存儲系統
能量存儲系統必須按照下列要求設計和安裝:
(a)能量存儲系統在任何可能妨礙繼續安全飛行和著陸的情況下必須具有自動保護功能;
(b)能量存儲系統放出的任何易燃、易爆或者有害氣體、煙霧或者液體,在旋翼航空器內的積聚量不得達到危險程度;
(c)從系統中逸出的腐蝕性液體或者氣體不得損壞繼續安全飛行和著陸所必需的周圍結構、鄰近設備或者系統;
(d)能量存儲系統或者其單個部件在任何運作過程或者在任何失效狀態下所能産生的最大熱量和壓力,不得對繼續安全飛行和著陸所必需的旋翼航空器結構、設備或者系統造成任何危險影響;
(e)對於旋翼航空器繼續安全飛行和著陸所需的能量存儲系統,其安裝必須具有監測功能,並有措施向飛行員指示所有關鍵系統參數的狀態。
第27.1357條 電路保護裝置
(a)在所有電路中必須安裝保護裝置,例如熔斷器或者斷路器。但下列情況除外:
(1)起動電動機的主電路;
(2)不裝保護裝置,不會有危險的電路。
(b)對於飛行安全所必不可少的電路的保護裝置,不得用於保護其他電路。
(c)每個可復位型電路保護裝置(即“自動斷路”裝置,其跳閘機構不能由工作控制機構來代替)必須按照下列規定設計:
(1)在跳閘後,需要人工操作以恢復工作;
(2)如果存在過載或者電路故障,不管操作控制的位置如何,該裝置應斷開電路。
(d)如果飛行安全要求必須有使某一斷路器復位或者更換某一熔斷器的能力,則該斷路器或者熔斷器的位置和標識必須使其在飛行中易被復位或者更換。
(e)如果採用熔斷器,則每種規格的熔斷器應有50%的備件,但至少備一個。
第27.1361條 總開關
(a)必須有一個總開關裝置,以便易於斷開電源與主匯流條的連接,斷開點必須靠近該開關控制的電源。
(b)如果靠近電源的額定值為5安培或者小于5安培的電路保護裝置保護,則負載電路可以連接成總開關斷開後仍然有電。
(c)總開關或者其控制裝置必須安裝成使機組人員在飛行中容易辨認和接近。
第27.1365條 電纜
(a)每根電纜必須具有足夠的載流能力。
(b)一旦發生電路過載或者故障,可能過熱的每根電纜必須至少是阻燃的,且不會放出達到危險量的毒性煙。
(c)旋翼航空器上安裝的導線和電纜的絕緣材料,在按照《運輸類飛機適航標準》(CCAR–25)附錄F第Ⅰ部分(a)款(3)項進行試驗時必須是自熄的。
第27.1367條 開關
每個開關必須滿足下列要求:
(a)能夠承受其額定電流;
(b)便於機組人員接近;
(c)對工作狀態和所控制的電路加以標記。
第四節 燈
第27.1381條 儀錶燈
儀錶燈必須滿足下列要求:
(a)所照明的每個儀錶、開關和其他裝置易於判讀。
(b)燈的安裝應做到:
(1)遮蔽直射駕駛員眼睛的光線;
(2)使駕駛員看不到有害的反光。
第27.1383條 著陸燈
(a)每個著陸燈或者懸停燈必須經過批准;
(b)每個著陸燈安裝必須做到:
(1)使駕駛員看不到有害的眩光;
(2)使駕駛員不受暈影的不利影響;
(3)為夜間操作(包括著陸和懸停)提供足夠的光線。
(c)對下列情況必須至少有一個單獨的開關(根據適用情況):
(1)單獨安裝的每個著陸燈;
(2)安裝在同一部位的每組著陸燈。
第27.1385條 航行燈系統的安裝
(a)通用要求
每個航行燈系統中的每一部分必須滿足本條中的有關要求,並且整個系統必須滿足本規定第27.1387條至第27.1397條的要求。
(b)前航行燈
前航行燈必須由紅燈和綠燈組成,其橫向間距要盡可能大,朝前裝在旋翼航空器上。當旋翼航空器處於正常飛行姿態時,燈的光色為左紅右綠。每個燈必須經過批准。
(c)後航行燈
後航行燈必須是白燈,要盡可能往後裝,並且必須經過批准。
(d)電路
兩個前航行燈和後航行燈必須構成單獨的電路。
(e)燈罩和濾色鏡
每個燈罩或者濾色鏡必須至少是抗燃的,在正常使用中不得改變顏色或者形狀,也不得有任何明顯的燈光透射損失。
第27.1387條 航行燈系統的二面角
(a)除本條(e)款規定者外,所裝的每個前、後航行燈在本條規定的二面角內,必須顯示無間斷的燈光。
(b)左二面角(L)由兩個相交的垂直平面組成,當沿著旋翼航空器縱軸向前看時,一個平面與旋翼航空器縱軸平行,而另一個向左偏離第一個平面110°。
(c)右二面角(R)由兩個相交的垂直平面組成,當沿著旋翼航空器縱軸向前看時,一個平面與旋翼航空器縱軸平行,而另一個向右偏離第一個平面110°。
(d)後二面角(A)由兩個相交的垂直平面組成,當沿著旋翼航空器縱軸向後看時,這兩個平面分別向左、向右偏離通過旋翼航空器縱軸的垂直平面各70°。
(e)如果根據本規定第27.1385條(c)款盡可能往後安裝的後航行燈,在本條(d)款所定義的二面角A內不能顯示出無間斷的燈光,則在該二面角內允許有一個或者幾個被遮蔽的立體角,但其總和在下述圓錐體內不得超過0.04球面度,該圓錐體以後航行燈為頂點,母線與通過後航行燈的垂直線成30°夾角。
第27.1389條 航行燈燈光分佈和光強
(a)通用要求
本條規定的光強必須用裝有燈罩和濾色鏡的新燈來測定。光強測定必須在光源發光達到穩定值後進行(該穩定值指光源在旋翼航空器正常工作電壓時的平均輸出光通)。每一航行燈燈光分佈和光強必須滿足本條(b)款的要求。
(b)前後航行燈
前、後航行燈燈光分佈和光強必須以左、右、後二面角範圍內水準平面內的最小光強、任一垂直平面內的最小光強和最大摻入光強表示,且必須滿足下列要求:
(1)水準平面內的光強
水準平面(包含旋翼航空器縱軸並垂直于旋翼航空器對稱平面的平面)內各範圍的光強必須等於或者大於本規定第27.1391條規定的相應值。
(2)任一垂直平面內的光強
任一垂直平面(垂直于水準平面的平面)內各範圍的光強必須等於或者大於本規定第27.1393條規定的相應值,其中,I為第27.1391條中規定的該水準平面內相應角度的最小光強。
(3)相鄰光源間的摻入光強
相鄰光源間的任何摻入光強均不得超過本規定第27.1395條中規定的相應值,但是當主光束的光強遠大於第27.1391條和第27.1393條中規定的最小值時,如果與主光束光強相比,摻入光強對主光源清晰度無不利影響,則可允許有更大的摻入光強。當前航行燈光強峰值大於100坎時,如果A區內摻入光強不大於航行燈光強峰值的10%,B區內的摻入光強不大於航行燈光強峰值的2.5%,則前航行燈之間的摻入光強最大值可以超過本規定第27.1395條中規定的相應值。
第27.1391條 前、後航行燈水準平面內的最小光強
每個航行燈的光強必須等於或者大於下表規定的相應值:

第27.1393條 前、後航行燈任一垂直平面內的最小光強
每個航行燈的光強必須等於或者大於下表規定的相應值:

第27.1395條 前、後航行燈的最大摻入光強
除本規定第27.1389條(b)款(3)項規定者外,航行燈摻入光強均不得超過下表規定的相應值:

表中:
(a)A區包括在相鄰的二面角內通過光源並與共同邊界面相交成大於10°但小于20°角的所有方向;
(b)B區包括在相鄰的二面角內通過光源並與共同邊界面相交成大於20°角的所有方向。
第27.1397條 航行燈顏色規格
每一航行燈的顏色必須具有國際照明委員會規定的下列相應色度坐標值:
(a)航空紅色
“Y”不大於0.335;
“Z”不大於0.002。
(b)航空綠色
“X”不大於0.440–0.320Y;
“X”不大於Y–0.170;
“Y”不小于0.390–0.170X。
(c)航空白色
“X”不小于0.300且不大於0.540;
“Y”不小于“X–0.040”或者“Y0–0.010”,取小者;
“Y”不大於“X+0.020”,也不大於“0.636–0.400X”。
其中:“Y0”為普朗克輻射器相對於所論“X”值的“Y”坐標值。
第27.1399條 停泊燈
(a)水上作業所需要的每個停泊燈的安裝必須符合下列規定:
(1)在大氣潔凈的夜間至少能夠在2海裏的距離內顯示白光;
(2)當該旋翼航空器在水上停泊時,應盡可能顯示最大無間斷的燈光。
(b)可以使用外部吊燈。
第27.1401條 防撞燈系統
(a)通用要求
如果申請夜間運作的合格審定,則旋翼航空器必須具有滿足下列要求的防撞燈系統:
(1)由一個或者幾個經批准的防撞燈組成,其安裝部位應使其發射的光線不影響機組的視覺,也不損害航行燈的明顯性;
(2)滿足本條(b)款至(f)款的要求。
(b)作用範圍
該系統必須有足夠數量的燈,以照亮旋翼航空器周圍重要的區域(從旋翼航空器的外部形態和飛行特性考慮)。其作用範圍必須至少達到旋翼航空器水準平面上下各30°範圍內的所有方向,但允許有被遮蔽的立體角,其總和不超過0.5球面度。
(c)閃光特性
該系統的佈局,即光源數目、光束寬度、旋轉速度以及其他特性,必須給出40至100次/分的有效閃光頻率。有效閃光頻率指從遠處看到的整個旋翼航空器防撞燈系統的閃光頻率。當系統有一個以上的光源時,對有效閃光頻率的規定也適用於有重疊部分的燈光區。在重疊區內,閃光頻率可以超過100次/分,但不得超過180次/分。
(d)顏色
防撞燈必須為航空紅色,且必須滿足本規定第27.1397條的有關要求。
(e)光強
裝上紅色濾色鏡(如使用時)測定並以“有效”光強表示的所有垂直平面內的最小光強,必須滿足本條(f)款的要求。必須採用下列關係式:

式中:
Ie為有效光強(坎德拉);
I(t)為時間的函數的暫態光強;
t2-t1為閃光持續時間(秒)。
通常,選擇t2和t1使有效光強等於t2和t1時的暫態光強,即可得到有效光強的最大值。
(f)防撞燈的最小有效光強
每個防撞燈的有效光強必須等於或者大於下表規定的相應值:

第五節 安全設備
第27.1411條 通用要求
(a)機組應急使用的所需安全設備,例如照明彈和自動充氣救生筏投放裝置,必須易於接近。
(b)必須備有存放所需安全設備的設施。該存放設施必須滿足下列要求:
(1)佈置得使安全設備可以直接取用,而且其位置明顯易見;
(2)防止安全設備由於受到本規定第27.561條中規定其慣性載荷而導致損壞。
第27.1413條 安全帶
每一安全帶必須裝有金屬對金屬的鎖扣裝置。
第27.1415條 水上迫降設備
(a)民用航空運作規章所要求的應急漂浮和信號設備,必須滿足本條要求。
(b)救生筏和救生防護用品必須經過批准,而且必須安裝得便於機組和乘客使用。救生防護用品的存放設施,必須容納供每個乘員使用一套的救生防護用品,此救生防護用品應申請水上迫降的合格審定。
(c)每個自動投出或者由駕駛員投出的救生筏,必須用一條繩索將它係留在旋翼航空器的旁邊。此繩的強弱,必須保證由它所繫留的空救生筏在旋翼航空器沉入水中之前斷開。
(d)每個信號裝置,在使用中必須保證不造成危害,而且必須安裝在方便易取的位置。
第27.1419條 防冰
(a)為獲得進入結冰條件下飛行的合格審定,必須表明滿足本條的要求。
(b)必須演示旋翼航空器在其高度包線內,在《運輸類旋翼航空器適航規定》(CCAR–29)附錄C中確定的,連續最大和間斷最大結冰條件下能安全運作。必鬚根據旋翼航空器的運作要求進行分析,以確認防冰系統足以滿足旋翼航空器不同部件的要求。
(c)除本條(b)款規定的分析和實際評價外,還必須通過旋翼航空器或者其部件,在測定的自然大氣結冰條件下的飛行試驗,以及為確定防冰系統足夠效能所必需的下述一種或者多種試驗,來表明防冰系統和它的部件的有效性:
(1)部件和部件模型的試驗室乾燥空氣試驗,或者試驗室模擬結冰試驗,或者兩者的組合;
(2)整個防冰系統或者系統的單個部件,在乾燥空氣中的飛行試驗;
(3)旋翼航空器或者其部件,在測定的模擬結冰條件下的飛行試驗。
(d)本條的防冰規定,可視為主要適用於機體。至於動力裝置的要求,包含在本規定的E章中。
(e)必須明確或者提供一種方法,用以確定旋翼航空器關鍵部件上的結冰情況。除非另有限制,否則此方法必須晝夜有效。旋翼航空器飛行手冊必須説明這種確定結冰情況的措施,且必須包含旋翼航空器在結冰條件下安全運作必需的資料。
第27.1435條 液壓系統
(a)設計
每個液壓系統及其元件,必須能承受液壓載荷及任何預料的結構載荷而不會産生永久變形。
(b)試驗
每個液壓系統必須經過耐壓試驗驗證。當進行耐壓試驗時,系統的任何部分不得有損壞、失靈或者産生永久變形的現象。每個系統的試驗載荷必須至少為該系統最大工作壓力的1.5倍。
(c)蓄壓瓶
在防火牆的發動機一側不得安裝液壓蓄壓瓶或者增壓油箱,除非它是構成發動機整體的一部分。
第27.1457條 駕駛艙錄音機
(a)民用航空運作規章所要求的每台駕駛艙錄音機必須經過批准,並且其安裝必須能夠記錄下列資訊:
(1)通過無線電在旋翼航空器上發出或者收到的通話;
(2)駕駛艙內飛行機組成員的通話;
(3)駕駛艙內飛行機組成員使用旋翼航空器內話系統時的通話;
(4)進入耳機或者揚聲器中的導航或者進近設備的通話或者音頻識別信號;
(5)飛行機組成員使用旅客廣播系統時的通話(如果裝有旅客廣播系統,並根據本條(c)款(4)項(ⅱ)目的要求有第四通道可用);
(6)使用經批准的數據資訊集的所有數據鏈通信(如果安裝了數據鏈通信設備),數據鏈資訊必須作為通信設備的輸出信號被記錄,該通信設備將信號轉換為可用數據。
(b)本條(a)款(2)項的錄音要求,可用下列裝置之一來滿足:
(1)在駕駛艙內安裝一隻區域麥克風,麥克風要安裝在最佳位置,能夠記錄正、副駕駛員工作位置上進行的通話,以及記錄駕駛艙內其他機組成員面向正、副駕駛員工作位置時的通話。
(2)在正、副駕駛員工作位置處安裝一隻持續供電或者聲控的唇式麥克風。本條規定的麥克風必須置於上述位置,並且如有必要,需對錄音機的前置放大器和濾波器進行調整或者補償,以便在飛行中駕駛艙有噪聲條件下記錄和重放的錄音通信是可懂的。可懂程度必須經過局方批准,評價可懂程度時可以把記錄反覆播放,用聽覺或者視覺進行判斷。
(c)每台駕駛艙錄音機的安裝必須將本條(a)款規定的通話或者音頻信號根據不同聲源分別記錄在下列通道上:
(1)第一通道,來自正駕駛員工作位置上的每個麥克風、耳機或者揚聲器。
(2)第二通道,來自副駕駛員工作位置上的每個麥克風、耳機或者揚聲器。
(3)第三通道,來自安裝在駕駛艙內的區域麥克風,或者在正、副駕駛員工作位置的持續供電或者聲控的唇式麥克風。
(4)第四通道:
(ⅰ)來自第三和第四名機組成員工作位置上的每個麥克風、耳機或者揚聲器;
(ⅱ)來自駕駛艙內與旅客廣播系統一起使用的每個麥克風,如果其信號未被別的通道所拾取(條件是不要求配置本條(c)款(4)項(ⅰ)目中規定的工作位置,或者該工作位置的信號由另一通道所拾取);
(ⅲ)來自駕駛艙內與旋翼航空器廣播系統一起使用的每個麥克風,如果其信號未被別的通道所拾取。
(d)每台駕駛艙錄音機的安裝必須符合下列規定:
(1)(ⅰ)其供電應來自對駕駛艙錄音機的工作最為可靠的匯流條,而不危及對重要負載或者應急負載的供電;
(ⅱ)盡可能長時間保持供電,又不危及旋翼航空器的應急操作。
(2)應備有自動裝置,在墜撞衝擊後10分鐘內,能使錄音機停止工作並停止各抹音裝置的功能。
(3)應備有音響或者目視裝置,能在飛行前檢查錄音機工作是否正常。
(4)無論駕駛艙錄音機和數字式飛行數據記錄器是安裝在獨立的盒子內還是組合單元,任何記錄器以外的單一電氣故障,不能使駕駛艙錄音機和飛行數據記錄器停止工作。
(5)具有符合下列要求的獨立電源:
(ⅰ)提供10±1分鐘的電源來支援駕駛艙錄音機和安裝在駕駛艙的區域麥克風;
(ⅱ)安裝位置盡可能靠近駕駛艙錄音機;
(ⅲ)當由於電氣匯流條的正常關斷或者任何其他斷電導致駕駛艙錄音機的所有其他電源中斷時,駕駛艙錄音機和駕駛艙安裝的區域麥克風能夠自動切換至該電源。
(e)記錄容器的位置和安裝,必須能將墜撞衝擊使該容器破裂以及隨之起火而使記錄毀壞的概率減至最小。
(f)如果駕駛艙錄音機裝有抹音裝置,其安裝設計必須使誤動的概率以及在墜撞衝擊時抹音裝置工作的概率減至最小。
(g)每個記錄器容器必須是鮮橙色或者鮮黃色。
(h)當民用航空運作規章要求同時具有駕駛艙錄音機和飛行數據記錄器時,只要符合本條中的其他要求和本規定中關於飛行數據記錄器的要求,可以安裝一個組合單元。
第27.1459條 飛行數據記錄器
(a)民用航空運作規章所要求的每台飛行數據記錄器的安裝必須符合下列規定:
(1)從滿足本規定第27.1323條、第27.1325條及第27.1327條中適用精度要求的信號源,獲取空速、高度和航向數據。
(2)垂直加速度感測器應剛性固定,其縱向位置應安裝在經批准的旋翼航空器重心限制範圍之內。
(3)(ⅰ)其供電應取自對飛行數據記錄器的工作最為可靠的匯流條,而不危及對重要或者應急負載的供電;
(ⅱ)盡可能長時間保持電力,又不危及旋翼航空器的應急操作。
(4)應備有音響或者目視裝置,能在飛行前檢查記錄器是否正常在存儲介質中記錄數據。
(5)除僅由發動機驅動的發電機系統供電的記錄器外,應備有自動裝置,在墜撞衝擊後10分鐘內,能使具有數據抹除裝置的記錄器停止工作,並同時停止各抹除裝置的功能。
(6)無論駕駛艙錄音機和數字式飛行數據記錄器是安裝在獨立的盒子內還是組合單元內,任何記錄器以外的單一電氣故障,不能使駕駛艙錄音機和數字飛行數據記錄器都停止工作。
(b)每個不可彈出式記錄器容器的位置和安裝,必須能將墜撞衝擊導致容器破裂以及隨之起火而毀壞記錄的概率減至最小。
(c)應建立飛行記錄器的空速、高度和航向讀數與正駕駛員儀錶上相應讀數(考慮校正系數)之間的相互關係。此關係必須覆蓋航空器運作的空速範圍、高度限制範圍和360度航向範圍。相互關係可在地面上用合適的方法確定。
(d)每個記錄器容器必須符合下列規定:
(1)外觀為鮮橙色或者鮮黃色;
(2)在其外表面固定有反射條,以利於發現它在水下的位置;
(3)當民用航空運作規章有要求時,在容器上裝有或者連接有水下定位裝置,其固定方式要保證在墜撞衝擊時不大可能分離。
(e)當民用航空運作規章要求同時具有駕駛艙錄音機和飛行數據記錄器時,只要符合本條中的其他要求和本規定中關於駕駛艙錄音機的要求,可以安裝一個組合單元。
第27.1461條 含高能轉子的設備
(a)含高能轉子的設備,必須符合本條(b)款、(c)款或者(d)款的規定。
(b)設備中的高能轉子必須能承受因故障、振動、異常轉速和異常溫度所引起的損傷。此外,還需滿足下列要求:
(1)輔助轉子機匣必須能包容住由高能轉子葉片破壞所引起的損傷;
(2)設備控制裝置、系統和儀錶設備,必須合理地保證在服役中不會超過影響高能轉子完整性的使用限制。
(c)必須通過試驗表明,含高能轉子的設備能夠包容住高能轉子在正常轉速控制裝置不起作用時能達到的最高轉速下産生的任何破壞。
(d)含高能轉子的設備,必須安裝在當轉子破壞時,既不會危及乘員安全,也不會對繼續安全飛行産生不利影響的部位。
G章 使用限制和資料
第一節 一般規定
第27.1501條 通用要求
(a)必須制定本規定第27.1503條至第27.1529條所規定的每項使用限制以及為安全運作所必需的其他限制和資料。
(b)必須按照本規定第27.1541條至第27.1589條的規定,使這些使用限制和為安全運作所必需的其他資料可供機組成員使用。
第二節 使用限制
第27.1503條 空速限制:通用要求
(a)必須制定使用速度範圍。
(b)當空速限制是重量、重量分佈、高度、旋翼轉速、功率或者其他因素的函數時,必須制定與這些因素的臨界組合相對應的空速限制。
第27.1505條 不可超越速度
(a)必須按照下列要求制定不可超越速度VNE:
(1)不小于74.08千米/小時(40節)(校準空速)。
(2)不大於下列三種值中的小者:
(ⅰ)按照本規定第27.309條制定的最大前飛速度的0.9倍;
(ⅱ)按照本規定第27.251條和第27.629條表明的最大速度的0.9倍;
(ⅲ)證實的前行槳葉槳尖達到M數效應時最大速度的0.9倍。
(b)VNE可以隨高度、旋翼轉速、溫度和重量變化,如果:
(1)同時採用的變數不超過這些變數中的兩個(或者綜合一個以上這些變數的儀錶不超過兩個);
(2)這些變數(或者綜合一個以上這些變數的儀錶指示值)的範圍大到足以使VNE可以有一個實用和安全的變化。
(c)對於直升機,穩定的無動力VNE表示為VNE(無動力),如果滿足下列條件,這一速度可以制定成小于本條(a)款制定的VNE:
(1)VNE(無動力)不小于有動力VNE和用以滿足下列要求的速度的平均值:
(ⅰ)對於單發直升機,按照本規定第27.65條(b)款的要求;
(ⅱ)對於多發直升機,按照本規定第27.67條的要求。
(2)VNE(無動力)為下列之一:
(ⅰ)一個恒定的空速;
(ⅱ)比有動力VNE小的一個恒定值;
(ⅲ)申請合格審定的部分高度範圍為一個恒定空速,而其餘高度範圍比有動力VNE小的一個恒定值。
第27.1509條 旋翼轉速
(a)無動力(自轉)的最大值
無動力旋翼最大轉速必須制定成不超過下列兩種值中小者的95%:
(1)按照本規定第27.309條(b)款確定的最大設計值;
(2)在型號試驗期間表明的最大轉速。
(b)無動力最小值
無動力時旋翼最小轉速必須制定成不小于下列兩種值中大者的105%;
(1)在型號試驗期間表明的最小轉速;
(2)由設計驗證所確定的最小值。
(c)有動力最小值
有動力時旋翼最小轉速必須制定成:
(1)不小于下列兩種值中大者;
(ⅰ)在型號試驗期間表明的最小轉速;
(ⅱ)由設計驗證所確定的最小值。
(2)不大於按照本規定第27.33條(a)款(1)項和(b)款(1)項所確定的值。
第27.1519條 重量和重心
必須將按照本規定第27.25條和第27.27條分別確定的重量和重心限制制定為使用限制。
第27.1521條 動力裝置限制
(a)通用要求
必須制定本條規定的動力裝置限制。該限制不得超過發動機型號合格證中的相應限制。
(b)起飛工作狀態
動力裝置起飛工作狀態必須受下列限制:
(1)最大轉速不得大於:
(ⅰ)旋翼設計所確定的最大值;
(ⅱ)在型號試驗期間表明的最大轉速。
(2)最大允許進氣壓力(對於活塞發動機)。
(3)與本條(b)款(1)項、(2)項制定的限制相對應的功率在使用時間上的限制。
(4)如果本條(b)款(3)項規定的時間限制超過兩分鐘,則用氣缸頭、冷卻劑出口或者滑油溫度容許的最大值來限定。
(5)渦輪發動機在申請合格審定整個使用範圍內的大氣條件和燃氣溫度限制。
(c)連續工作狀態
連續工作狀態必須受下列限制:
(1)最大轉速不得大於:
(ⅰ)旋翼設計所確定的最大值;
(ⅱ)在型號試驗期間表明的最大轉速。
(2)按照本規定第27.1509條(c)款旋翼轉速要求所表明的最小轉速。
(3)渦輪發動機在申請合格審定整個使用範圍內的大氣條件和燃氣溫度限制。
(d)燃油品級或者牌號
必須規定最低燃油品級(對於活塞發動機)或者燃油牌號(對於渦輪發動機),此規定不得低於該發動機在本條(b)款和(c)款的限制範圍內運轉所要求的品級或者牌號。
(e)渦輪發動機的扭矩
主旋翼由渦輪發動機驅動,且傳動系統中無扭矩限制器的旋翼航空器按照下列規定:
(1)如果發動機能夠輸出的扭矩大於下面的任一值,必須確定發動機扭矩限制:
(ⅰ)設計的旋翼傳動系統所能傳遞的扭矩;
(ⅱ)按照本規定第27.547條(e)款表明的主旋翼系統設計所能承受的扭矩。
(2)按本條(e)款(1)項所確定的發動機扭矩限制,不得超過本條(e)款(1)項(ⅰ)或者(ⅱ)目所制定的扭矩。
(f)外界溫度
對於渦輪發動機,必須制定外界溫度限制(如果裝有防寒裝置,包括對該裝置的限制),該限制應為表明符合本規定第27.1041條至第27.1045條有關冷卻規定時的最高外界大氣溫度。
(g) 分鐘一台發動機不工作(OEI)功率的工作狀態
除非另經批准, 分鐘一台發動機不工作(OEI)功率的使用必須限于多發渦輪動力的旋翼航空器一台發動機失效後的運作,其時間不多於 分鐘。使用 分鐘一台發動機不工作(OEI)功率還必須受下列限制:
(1)最大轉速不得大於:
(ⅰ)旋翼設計所確定的最大值;
(ⅱ)在型號試驗期間表明的最大轉速。
(2)最高允許的燃氣溫度。
(3)最大允許的扭矩。
(h)30分鐘一台發動機不工作(OEI)功率的工作狀態
除非另經批准,30分鐘一台發動機不工作(OEI)功率的使用必須限于多發渦輪動力的旋翼航空器一台發動機失效後的運作,其時間不多於30分鐘。使用30分鐘一台發動機不工作(OEI)功率還必須受下列限制:
(1)最大轉速不得大於:
(ⅰ)旋翼設計所確定的最大值;
(ⅱ)在型號試驗期間表明的最大轉速。
(2)最高允許的燃氣溫度。
(3)最大允許的扭矩。
(i)連續一台發動機不工作(OEI)功率的工作狀態
除非另經批准,連續一台發動機不工作(OEI)功率的使用必須限于多發渦輪動力的旋翼航空器一台發動機失效後的繼續飛行。使用連續一台發動機不工作(OEI)功率還必須受下列限制:
(1)最大轉速不得大於:
(ⅰ)旋翼設計所確定的最大值;
(ⅱ)在型號試驗期間表明的最大轉速。
(2)最高允許的燃氣溫度。
(3)最大允許的扭矩。
(j)額定30秒一台發動機不工作(OEI)功率的工作狀態
額定30秒一台發動機不工作(OEI)功率只允許用於多發渦輪動力的且合格審定使用額定2分鐘一台發動機不工作(OEI)功率的旋翼航空器,且僅用於一台發動機失效或者預防性停車後其餘發動機的繼續使用。必須表明在使用了額定30秒一台發動機不工作(OEI)功率後,通過本規定附錄A的第A27.4條以及《航空發動機適航規定》(CCAR–33)附錄A的第A33.4條適用的檢查和其他相關程式,可以容易探明任何損傷。使用額定30秒一台發動機不工作(OEI)功率的任何時間段必須限于不超過30秒。還必須受下列限制:
(1)最大轉速不得大於:
(ⅰ)旋翼設計所確定的最大值;
(ⅱ)在型號試驗期間表明的最大轉速。
(2)最高允許的燃氣溫度。
(3)最大允許的扭矩。
(k)額定2分鐘一台發動機不工作(OEI)功率的工作狀態
額定2分鐘一台發動機不工作(OEI)功率只允許用於多發渦輪動力的且合格審定使用額定30秒一台發動機不工作(OEI)功率的旋翼航空器,且僅用於一台發動機失效或者預防性停車後其餘發動機的繼續使用。必須表明在使用了額定2分鐘一台發動機不工作(OEI)功率後,通過本規定附錄A的第A27.4條以及《航空發動機適航規定》(CCAR–33)附錄A的第A33.4條適用的檢查和其他相關程式,可以容易探明任何損傷。使用額定2分鐘一台發動機不工作(OEI)功率的任何時間段必須限于不超過2分鐘。還必須受下列限制:
(1)最大轉速不得大於:
(ⅰ)旋翼設計所確定的最大值;
(ⅱ)在型號試驗期間表明的最大轉速。
(2)最高允許的燃氣溫度。
(3)最大允許的扭矩。
第27.1523條 最小飛行機組
必須考慮下列因素來規定最小飛行機組,使其足以保證安全運作:
(a)每個機組成員的工作量;
(b)有關機組成員對必需的操縱器件的可達性和操作簡易性;
(c)按照本規定第27.1525條核準的運作類型。
第27.1525條 運作類型
旋翼航空器經批准的運作類型(例如目視飛行規則(VFR)、儀錶飛行規則(IFR)、晝間、夜間或者結冰條件)按照對適用的合格審定要求的符合性演示和所裝設備來制定。
第27.1527條 最大使用高度
必須制定受飛行、結構、動力裝置、功能或者設備特性限制所允許使用的最大高度。
第27.1529條 持續適航文件
申請人必鬚根據本規定附錄A編制局方可接受的持續適航文件。如果有計劃保證在交付第一架旋翼航空器之前或者在頒發標準適航證之前完成這些文件,則這些文件在型號合格審定時可以是不完備的。
第三節 標記和標牌
第27.1541條 通用要求
(a)旋翼航空器必須具有:
(1)本規定第27.1545條至第27.1565條中所規定的標記和標牌;
(2)如果具有不尋常的設計、使用或者操縱特性,為旋翼航空器安全運作所需的附加的資訊、儀錶標記和標牌。
(b)本條(a)款中規定的每一標記和標牌必須符合下列要求:
(1)示于醒目處;
(2)不易擦去、走樣或者模糊。
第27.1543條 儀錶標記:通用要求
每一儀錶標記必須符合下列要求:
(a)當標記位於儀錶的玻璃罩上時,有使玻璃罩與刻度盤盤面保持正確定位的措施;
(b)每一弧線和直線有足夠的寬度,並處於適當的位置,使駕駛員清晰可見。
第27.1545條 空速表
(a)每個空速表必須按照本條(b)款規定作標記,且標記要位於相應指示空速位置。
(b)必須作下列標記:
(1)一紅色線:
(ⅰ)除直升機外的旋翼航空器,標在VNE處;
(ⅱ)對於直升機,標在VNE(有動力)處;
(ⅲ)對於直升機,標在VNE(無動力)處。如果VNE(無動力)小于VNE(有動力),且兩者同時顯示,則VNE(無動力)紅色線標記必須與VNE(有動力)紅色線標記做明顯區分。
(2)[備用]
(3)對警告範圍,用一黃色範圍。
(4)對正常使用範圍,用一綠色或者無標記範圍。
第27.1547條 磁航向指示器
(a)在磁航向指示器上或者其近旁必須裝有符合本條要求的標牌。
(b)標牌必須標明在發動機工作的平飛狀態該儀錶的校準結果。
(c)標牌必須説明上述校準是在無線電接收機打開還是關閉的情況下進行的。
(d)每一校準讀數必須用增量不大於45°的磁航向角表示。
(e)如果一個磁航向指示器的不穩定,因電器設備工作會具有大於10°偏移,則標牌應標明哪些電氣負載或者哪些負載的組合工作時能引起大於10°的偏移。
第27.1549條 動力裝置儀錶
每個所需的動力裝置儀錶,根據儀錶相應的類型應符合下列要求:
(a)最大安全使用限制和(如有)最小安全使用限制,必須用紅色線標示;
(b)正常使用範圍必須用綠色或者無標記範圍標示;
(c)起飛和預警範圍必須用黃色範圍或者黃色線標示;
(d)發動機或者旋翼因振動應力過大而需加以限制的轉速範圍必須用紅色範圍或者紅色線標示;
(e)所有一台發動機不工作(OEI)限制或者批准的使用範圍必須標記,使其與本條(a)款至(d)款的標記有明顯的區別,但30秒一台發動機不工作(OEI)限制可以不作標記。
第27.1551條 滑油油量指示器
滑油油量指示器必須標出足夠密的刻度,以便迅速而準確地指示滑油油量。
第27.1553條 燃油油量表
如果任一油箱的不可用燃油量超過3.8升(1美加侖)或者該油箱容積的5%中之大者,則必須在其油量表上從校準的零讀數到平飛中所讀得的最小讀數用紅色弧線標示。
第27.1555條 操縱器件標記
(a)除飛行主要操縱器件和功能顯而易見的操縱器件外,必須清晰地標明駕駛艙內每一操縱器件的功能和操作方法。
(b)對動力裝置燃油操縱器件有下列要求:
(1)必須對燃油箱轉換開關的操縱器件作出標記,指明相應于每個油箱的位置和相應于每種實際存在的交輸供油狀態的位置;
(2)為了安全運作,如果要求按特定順序使用某些油箱,則在此組油箱的轉換開關上或者其近旁必須標明該順序;
(3)對多發旋翼航空器的每個閥門操縱器件必須作出標記,指明相應于所操縱的發動機的位置。
(c)對可用燃油容量必須作如下標記:
(1)對無轉換開關的燃油系統,必須在燃油油量表上標出系統的可用燃油量,除非:
(ⅰ)由駕駛員易於獲取的其他系統或者設備提供;
(ⅱ)包含在旋翼航空器飛行手冊的限制章節。
(2)對有轉換開關的燃油系統,必須在轉換開關附近指明對應轉換開關每個位置可供使用的可用燃油量。
(d)對附件、輔助設備和應急裝置的操縱器件有下列要求:
(1)對每一重要的目視位置指示器,如指示旋翼槳距或者起落架位置的指示器,必須給予標記,以便在任何時候,每個空勤人員都能確定與指示器有關的構件位置;
(2)每個應急裝置的操縱器件必須為紅色,並必須標示使用方法。
(e)對裝有可收放式起落架的旋翼航空器,必須在駕駛員清晰可見處標明收放起落架時的最大飛行速度。
第27.1557條 其他標記和標牌
(a)行李艙、貨艙和配重位置
每個行李艙和貨艙以及每一配重位置必須裝有標牌,説明按裝載要求需要對裝載物作出任何限制,包括重量限制。
(b)座椅
如果一個座椅能承受的最大容許重量低於77公斤(170磅),標明該較低重量的標牌必須永久地固定在座椅的結構上。
(c)燃油和滑油加油口採用以下規定:
(1)必須在燃油加油口蓋上或者其近旁作如下標記:
(ⅰ)“燃油”字樣;
(ⅱ)最低燃油品級(對於活塞發動機的旋翼航空器);
(ⅲ)許用燃油牌號(對於渦輪發動機的旋翼航空器);
(ⅳ)壓力加油系統的最大許用加油壓力和最大許用抽油壓力。
(2)在滑油加油口蓋上或者其近旁必須標有“滑油”字樣。
(d)應急出口標牌
每個應急出口的標牌和操作手柄必須是紅色的。每個應急出口操作手柄附近必須有一標牌清楚地指明出口的位置和使用方法。
第27.1559條 限制標牌
必須有一個駕駛員能清晰可見的標牌,其上寫明旋翼航空器經批准的運作類型(例如目視飛行規則(VFR)、儀錶飛行規則(IFR)、晝間、夜間或者結冰條件)。
第27.1561條 安全設備
(a)在應急情況下由機組操作的每個安全設備的操縱器件,例如自動投放救生筏的操縱器件,必須清晰地標明其操作方法。
(b)裝有滅火瓶、信號裝置或者其他救生設備的位置,例如鎖櫃或者隔間,必須相應作出標記。
第27.1565條 尾槳
尾槳必須有標記,以便在正常晝間地麵條件下,可清晰地看到槳盤。
第四節 旋翼航空器飛行手冊和批准的手冊資料
第27.1581條 通用要求
(a)應提供的資料
必須為每架旋翼航空器提供旋翼航空器飛行手冊,該手冊必須包含下列內容:
(1)本規定第27.1583條至第27.1589條要求的資料;
(2)由於設計、使用或者操縱特性而為安全運作所必需的其他資料。
(b)經批准的資料
在本規定第27.1583條至第27.1589條所列適用於該旋翼航空器飛行手冊的每一部分內容必須提供、證實和批准,並且必須單獨編排,加以標識,將其同該手冊中未經批准的部分清楚地分開。
(c)[備用]
(d)目錄表
根據手冊的複雜程度,如有必要,旋翼航空器飛行手冊必須有目錄表。
第27.1583條 使用限制
(a)空速和旋翼限制
必須提供在其相應指示器上或者附近標示空速和旋翼限制所需的資料,必須解釋每一限制和顏色標記的含義。
(b)動力裝置限制
必須提供下列資料:
(1)本規定第27.1521條要求的限制;
(2)對限制的解釋(當需要時);
(3)按照本規定第27.1549條至第27.1553條的要求對儀錶作標記所需資料。
(c)重量和載重分佈
必須提供本規定第27.25條和第27.27條分別要求的重量和重心限制。如果允許多種可能的裝載情況,則必須包括有關的説明,以便遵守限制。
(d)飛行機組
當要求飛行機組成員多於一人時,必須提供按照本規定第27.1523條確定的最小飛行機組的人數及其職能。
(e)運作類型
必須列出經批准的旋翼航空器及其所裝設備依據的每一種運作類型。
(f)[備用]
(g)高度
必須提供按照本規定第27.1527條制定的高度和限制因素説明。
第27.1585條 使用程式
(a)手冊中使用程式部分,必須包含所有正常和應急程式的資料,包括起飛、著陸程式及有關空速在內的保證安全運作所需的其他資料。手冊必須包含所有適用資料,包括:
(1)在試驗中使用的起飛場地類型和相應的每種離場爬升速度;
(2)在試驗中使用的著陸場地類型及相應的進場和下滑空速。
(b)對於多發旋翼航空器,必須提供為安全起見,燃油系統需按照本規定第27.953條規定獨立供油的每種運作狀態的資料,同時提供將燃油系統配置成表明符合該條要求的説明。
(c)對於按照本規定第27.1505條(c)款制定VNE(無動力)的直升機,必須提供解釋VNE(無動力)的資料和在全部發動機失效後減小空速至不大於VNE(無動力)的程式。
(d)[備用]
(e)如果任一油箱的不可用燃油量超過該油箱容積的5%和3.8升(1美加侖)中的大者,必須提供資料指明,在平飛時當油量指示器讀數為“零”時,不能在飛行中安全使用該油箱的任何數量的余油。
(f)必須提供關於每個油箱可用燃油總油量的資料。
(g)必須提供在本規定第27.71條中規定的最小下降率和最佳下滑角所對應的空速和旋翼轉速。
第27.1587條 性能資料
(a)對於旋翼航空器,必須提供按照本規定第27.49條至第27.87條和第27.143條(c)款和(d)款確定的下列資料:
(1)確定高度-速度包線的足夠資料。
(2)有關資料:
(ⅰ)穩定的爬升率及下降率、有地效及無地效懸停升限及相應的空速和其他相關資料,包括計算的高度和溫度影響。
(ⅱ)對每個高度和溫度條件,旋翼航空器能夠在不低於8.74米/秒(17節)全方位風下,安全地有地效和無地效懸停的最大重量。這些數據必須被明確引用到相關懸停圖表。此外,如果存在重量、高度和溫度的其他組合,按此提供了性能資料,並且此時旋翼航空器在最大風速情況下不能安全著陸和起飛,則使用包線的那些部分和適當的安全風條件,必須在旋翼航空器飛行手冊中給出。
(ⅲ)對於活塞發動機的旋翼航空器,表明符合本規定第27.1041條至第27.1045條冷卻規定的相應最高大氣溫度的資料。
(ⅳ)以本規定第27.71條確定的最小下降率和最佳下滑角所對應的速度及條件自轉時,下滑距離隨高度而變化的資料。
(b)旋翼航空器飛行手冊必須包含:
(1)在手冊性能資料中,用以滿足與本規定第27.51條中規定的起飛重量和高度有關的任何資料;
(2)按照本規定第27.65條(a)款(2)項(ⅰ)目確定的起飛水準距離。
第27.1589條 裝載資料
如果乘員重量取任何有可能的值,而處在按照本規定第27.25條確定的最大和最小重量之間的可能裝載情況會導致重心超過第27.27條規定的任一極限,則對每一個這種可能情況都必須有裝載説明。
H章 附 則
第27.2001條 施行
本規定自2026年1月1日起施行。原中國民用航空總局于2002年7月2日以民航總局令第112號公佈、交通運輸部于2017年4月1日以交通運輸部令2017年第10號修改的《正常類旋翼航空器適航規定》同時廢止。
